Resouece Discoveries

resource_discoveries_data %>%
  group_by(ResourceSpeed) %>%
  summarise(NumberOfUniqueEvents = n_distinct(Event)) %>%
  arrange(ResourceSpeed)
n_resource_discovery_event <- resource_discoveries_data %>%
  group_by(SignalingType, ResourceSpeed) %>%
  summarise(NumberOfUniqueEvents = n_distinct(Event)) %>%
  arrange(ResourceSpeed, SignalingType)

n_resource_discovery_event %>% 
  knitr::kable("html", digits = 2) %>% kable_classic(full_width = T, position = "center", )
SignalingType ResourceSpeed NumberOfUniqueEvents
A fast 383
NP fast 126
VP fast 173
FP fast 147
A slow 212
NP slow 17
VP slow 21
FP slow 11
writeLines(kable(n_resource_discovery_event, format = "latex"), 
           paste0(comparisons, "n_resource_discovery_event_table.tex"))
resource_discoveries_data %>%
  filter(str_starts(Event, "NS-18")) %>%
  summarise(NumberOfUniqueEvents = n_distinct(Event))
resource_discoveries_data_vp %>%
  group_by(ResourceSpeed, SignalingType) %>%
  summarise(UniqueEvents = n_distinct(Event)) %>% 
  arrange(ResourceSpeed, SignalingType) %>% 
  knitr::kable("html", digits = 2) %>% kable_classic(full_width = T, position = "center", )
ResourceSpeed SignalingType UniqueEvents
fast VP_NS 107
fast VP_S 66
slow VP_NS 9
slow VP_S 12
resource_discoveries_data_vp %>%
  mutate(Group = str_extract(Event, "^[^-_]+[-_][0-9]+")) %>% 
  group_by(ResourceSpeed, SignalingType, Group) %>%
  summarise(UniqueEvents = n_distinct(Event)) %>% 
  arrange(ResourceSpeed, Group, SignalingType) %>% 
  knitr::kable("html", digits = 2) %>% kable_classic(full_width = T, position = "center", )
ResourceSpeed SignalingType Group UniqueEvents
fast VP_NS VP-10 12
fast VP_S VP-10 1
fast VP_NS VP-13 4
fast VP_S VP-13 6
fast VP_NS VP-14 1
fast VP_S VP-14 6
fast VP_NS VP-15 6
fast VP_S VP-15 2
fast VP_NS VP-16 11
fast VP_S VP-16 1
fast VP_NS VP-19 1
fast VP_S VP-19 6
fast VP_NS VP-2 10
fast VP_NS VP-20 2
fast VP_S VP-20 8
fast VP_S VP-21 6
fast VP_NS VP-22 7
fast VP_S VP-22 1
fast VP_NS VP-24 7
fast VP_NS VP-25 5
fast VP_S VP-25 4
fast VP_NS VP-29 8
fast VP_S VP-29 3
fast VP_NS VP-3 8
fast VP_S VP-3 2
fast VP_NS VP-31 6
fast VP_S VP-31 3
fast VP_NS VP-32 6
fast VP_S VP-32 5
fast VP_NS VP-37 5
fast VP_S VP-37 2
fast VP_NS VP-6 6
fast VP_NS VP-8 2
fast VP_S VP-8 10
slow VP_NS VP-1 1
slow VP_S VP-1 1
slow VP_S VP-12 1
slow VP_S VP-17 1
slow VP_S VP-18 1
slow VP_NS VP-27 3
slow VP_NS VP-28 1
slow VP_S VP-28 1
slow VP_S VP-30 1
slow VP_S VP-35 1
slow VP_NS VP-4 1
slow VP_S VP-4 2
slow VP_S VP-5 1
slow VP_S VP-7 1
slow VP_NS VP-9 3
slow VP_S VP-9 1

Fast

Probability of staying on resource

m.events.f.pstay.data <- resource_discoveries_data %>% 
  filter(ResourceSpeed == 'fast', PlayerOrderCat == 'first') %>% 
  filter(((Timepoint * 10) %% 10 == 0))
m.events.f.pstay.formula <- brmsformula(
  IsOnResource ~ gp(Timepoint, by = SignalingType),
  family = bernoulli(link = "logit")
  )
m.events.f.pstay.priors <-
  prior(normal(0, 1), class = "Intercept") +
  prior(inv_gamma(10, 20), class = "lscale", coef = "gpTimepointSignalingTypeA") +
  prior(inv_gamma(10, 20), class = "lscale", coef = "gpTimepointSignalingTypeFP") +
  prior(inv_gamma(10, 20), class = "lscale", coef = "gpTimepointSignalingTypeNP") +
  prior(inv_gamma(10, 20), class = "lscale", coef = "gpTimepointSignalingTypeVP") +
  prior(normal(0, 0.25), class = "sdgp", lb = 0)

Prior predictive checks

m.events.f.pstay.fit_prior <- brm(
  formula = m.events.f.pstay.formula,
  prior   = m.events.f.pstay.priors,
  data    = m.events.f.pstay.data,
  seed    = 42,
  chains  = 4,
  cores   = 4,
  iter    = 2000,
  file = paste0(fits_path, 'resource_discoveries_fast_p_stay_prior.rds'),
  backend = "cmdstanr",
  threads = threading(100),
  control = list(adapt_delta = 0.95),
  save_pars = save_pars(all = TRUE),
  sample_prior = "only"
)
plot(conditional_effects(m.events.f.pstay.fit_prior, ndraws = 20, spaghetti = TRUE), points = F, ask = F)

Model fitting

m.events.f.pstay.fit <- brm(
  formula = m.events.f.pstay.formula,
  prior   = m.events.f.pstay.priors,
  data    = m.events.f.pstay.data,
  chains = 4,
  cores = 4,
  seed = 42,
  warmup = 500,
  iter = 2000,
  file = paste0(fits_path, 'resource_discoveries_fast_p_stay.rds'),
  backend = "cmdstanr",
  threads = threading(100),
  control = list(adapt_delta = 0.95),
  save_pars = save_pars(all = TRUE)
  )
summary(m.events.f.pstay.fit)
##  Family: bernoulli 
##   Links: mu = logit 
## Formula: IsOnResource ~ gp(Timepoint, by = SignalingType) 
##    Data: m.events.f.pstay.data (Number of observations: 24330) 
##   Draws: 4 chains, each with iter = 2000; warmup = 500; thin = 1;
##          total post-warmup draws = 6000
## 
## Gaussian Process Hyperparameters:
##                                    Estimate Est.Error l-95% CI u-95% CI Rhat Bulk_ESS Tail_ESS
## sdgp(gpTimepointSignalingTypeA)        1.25      0.15     0.98     1.56 1.00     6674     4196
## sdgp(gpTimepointSignalingTypeNP)       1.13      0.15     0.86     1.44 1.00     8307     3906
## sdgp(gpTimepointSignalingTypeVP)       1.17      0.15     0.89     1.47 1.00     8587     4806
## sdgp(gpTimepointSignalingTypeFP)       1.11      0.15     0.83     1.42 1.00     8121     4742
## lscale(gpTimepointSignalingTypeA)      0.47      0.05     0.39     0.57 1.00     6672     4882
## lscale(gpTimepointSignalingTypeNP)     0.61      0.09     0.45     0.81 1.00     4543     4725
## lscale(gpTimepointSignalingTypeVP)     0.51      0.06     0.40     0.65 1.00     5660     4320
## lscale(gpTimepointSignalingTypeFP)     0.50      0.06     0.40     0.63 1.00     6567     4588
## 
## Regression Coefficients:
##           Estimate Est.Error l-95% CI u-95% CI Rhat Bulk_ESS Tail_ESS
## Intercept     1.81      0.41     1.02     2.60 1.00     2757     3774
## 
## Draws were sampled using sample(hmc). For each parameter, Bulk_ESS
## and Tail_ESS are effective sample size measures, and Rhat is the potential
## scale reduction factor on split chains (at convergence, Rhat = 1).

Model diagnostics

plot(m.events.f.pstay.fit, ask = F)

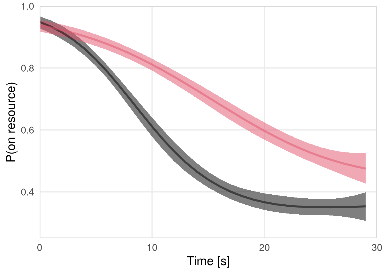
Figure

m.events.f.pstay.draws <- m.events.f.pstay.data %>%
  mutate(SignalingType = factor(SignalingType, levels = c('A', 'NP', 'VP', 'FP'))) %>% 
  data_grid(Timepoint, SignalingType) %>%
  tidybayes::add_epred_draws(m.events.f.pstay.fit, allow_new_levels = TRUE, re_formula = m.events.f.pstay.formula)
events_fast_p_stay_fig <- m.events.f.pstay.draws %>% 
  ggplot(aes(x = Timepoint, y = .epred, fill = SignalingType, color = SignalingType)) +   # , group = SignalingType
  stat_lineribbon(aes(group = paste(group, ...width..)), .width = c(.9), alpha = 1/2) +
  # theme_nice(legend.pos = "top") +
  theme_clean() +
  panel_border() +
  theme(legend.position    = "none") +
  scale_color_manual(breaks = c('A', 'NP', 'VP', 'FP'),
                     aesthetics = c("colour", "fill"),
                    values = c("#000000", "#DF536B", "#61D04F", "#2297E6"), 
                    guide = guide_legend(
                      title = "Signaling", 
                     )
                    ) +
  scale_y_continuous(
    limits  = c(0.25, 1.0),
    expand  = expansion(mult = c(0, 0))
  ) +
  scale_x_continuous(
    limits  = c(0, 30),
    expand  = expansion(mult = c(0, 0))
  ) +
  labs(x = "Time [s]", 
       y = "P(on resource)") # Probability of being on resource (first player)

events_fast_p_stay_fig

Probability of staying on resource VP

m.events.f.pstay.VP.data <- resource_discoveries_data_vp %>% 
  filter(ResourceSpeed == 'fast', PlayerOrderCat == 'first') %>% 
  filter(((Timepoint * 10) %% 10 == 0))
m.events.f.pstay.VP.formula <- brmsformula(
  IsOnResource ~ gp(Timepoint, by = SignalingType),
  family = bernoulli(link = "logit")
  )
m.events.f.pstay.VP.priors <-
  prior(normal(0, 1), class = "Intercept") +
  prior(inv_gamma(10, 20), class = "lscale", coef = "gpTimepointSignalingTypeVP_NS") +
  prior(inv_gamma(10, 20), class = "lscale", coef = "gpTimepointSignalingTypeVP_S") +
  prior(normal(0, 0.25), class = "sdgp", lb = 0)

Prior predictive checks

m.events.f.pstay.VP.fit_prior <- brm(
  formula = m.events.f.pstay.VP.formula,
  prior   = m.events.f.pstay.VP.priors,
  data    = m.events.f.pstay.VP.data,
  seed    = 42,
  chains  = 4,
  cores   = 4,
  iter    = 2000,
  file = paste0(fits_path, 'resource_discoveries_fast_p_stay_vp_prior.rds'),
  backend = "cmdstanr",
  threads = threading(100),
  control = list(adapt_delta = 0.95),
  save_pars = save_pars(all = TRUE),
  sample_prior = "only"
)
plot(conditional_effects(m.events.f.pstay.VP.fit_prior, ndraws = 20, spaghetti = TRUE), points = F, ask = F)

Model fitting

m.events.f.pstay.VP.fit <- brm(
  formula = m.events.f.pstay.VP.formula,
  prior   = m.events.f.pstay.VP.priors,
  data    = m.events.f.pstay.VP.data,
  chains = 4,
  cores = 4,
  seed = 42,
  warmup = 500,
  iter = 2000,
  file = paste0(fits_path, 'resource_discoveries_fast_p_stay_vp.rds'),
  backend = "cmdstanr",
  threads = threading(100),
  control = list(adapt_delta = 0.95),
  save_pars = save_pars(all = TRUE)
  )
summary(m.events.f.pstay.VP.fit)
##  Family: bernoulli 
##   Links: mu = logit 
## Formula: IsOnResource ~ gp(Timepoint, by = SignalingType) 
##    Data: m.events.f.pstay.VP.data (Number of observations: 5010) 
##   Draws: 4 chains, each with iter = 2000; warmup = 500; thin = 1;
##          total post-warmup draws = 6000
## 
## Gaussian Process Hyperparameters:
##                                       Estimate Est.Error l-95% CI u-95% CI Rhat Bulk_ESS Tail_ESS
## sdgp(gpTimepointSignalingTypeVP_NS)       1.12      0.15     0.85     1.43 1.00    10306     4790
## sdgp(gpTimepointSignalingTypeVP_S)        0.92      0.14     0.66     1.22 1.00    10716     4607
## lscale(gpTimepointSignalingTypeVP_NS)     0.60      0.09     0.45     0.79 1.00     5414     4021
## lscale(gpTimepointSignalingTypeVP_S)      0.92      0.15     0.67     1.25 1.00     8449     4345
## 
## Regression Coefficients:
##           Estimate Est.Error l-95% CI u-95% CI Rhat Bulk_ESS Tail_ESS
## Intercept     1.40      0.51     0.40     2.45 1.00     5179     3906
## 
## Draws were sampled using sample(hmc). For each parameter, Bulk_ESS
## and Tail_ESS are effective sample size measures, and Rhat is the potential
## scale reduction factor on split chains (at convergence, Rhat = 1).

Model diagnostics

plot(m.events.f.pstay.VP.fit, ask = F)

Figure

m.events.f.pstay.VP.draws <- m.events.f.pstay.VP.data %>%
  mutate(SignalingType = factor(SignalingType, levels = c('VP_NS', 'VP_S'))) %>% 
  data_grid(Timepoint, SignalingType) %>%
  tidybayes::add_epred_draws(m.events.f.pstay.VP.fit, allow_new_levels = TRUE, re_formula = m.events.f.pstay.VP.formula)
events_fast_p_stay_vp_fig <- m.events.f.pstay.VP.draws %>% 
  ggplot(aes(x = Timepoint, y = .epred, fill = SignalingType, color = SignalingType)) +   # , group = SignalingType
  stat_lineribbon(aes(group = paste(group, ...width..)), .width = c(.9), alpha = 1/2) +
  theme_clean() +
  panel_border() +
  theme(legend.position    = "none") +
  scale_color_manual(breaks = c('VP_NS', 'VP_S'),
                     aesthetics = c("colour", "fill"),
                    values = c("#000000", "#DF536B"), 
                    guide = guide_legend(
                    title = "Signaling", 
                     )
                    ) +
  scale_y_continuous(
    limits  = c(0.25, 1.0),
    expand  = expansion(mult = c(0, 0))
  ) +
  scale_x_continuous(
    limits  = c(0, 30),
    expand  = expansion(mult = c(0, 0))
  ) +
  labs(x = "Time [s]", 
       y = "P(on resource)")

events_fast_p_stay_vp_fig

Probability of reaching resource

m.events.f.reach.data <- resource_discoveries_data %>% 
  filter(ResourceSpeed == 'fast', SignalingType != 'A', PlayerOrderCat == 'others') %>% 
  filter(((Timepoint * 10) %% 10 == 0))


m.events.f.reach.formula <- brmsformula(
  IsOnResource ~ gp(Timepoint, by = SignalingType),
  family = bernoulli(link = "logit")
  )
m.events.f.reach.priors <-
  prior(normal(0, 1), class = "Intercept") +
  prior(inv_gamma(10, 20), class = "lscale", coef = "gpTimepointSignalingTypeFP") +
  prior(inv_gamma(10, 20), class = "lscale", coef = "gpTimepointSignalingTypeNP") +
  prior(inv_gamma(10, 20), class = "lscale", coef = "gpTimepointSignalingTypeVP") +
  prior(normal(0, 0.25), class = "sdgp", lb = 0)

Prior predictive checks

m.events.f.reach.fit_prior <- brm(
  formula = m.events.f.reach.formula,
  prior   = m.events.f.reach.priors,
  data    = m.events.f.reach.data,
  chains  = 4,
  cores   = 4,
  seed    = 42,
  iter    = 2000,
  file = paste0(fits_path, 'resource_discoveries_fast_p_reach_prior.rds'),
  backend = "cmdstanr",
  threads = threading(100),
  control = list(adapt_delta = 0.95),
  save_pars = save_pars(all = TRUE),
  sample_prior = "only"
  )
plot(conditional_effects(m.events.f.reach.fit_prior, ndraws = 20, spaghetti = TRUE), points = F, ask = F)

Model fitting

m.events.f.reach.fit <- brm(
  formula = m.events.f.reach.formula,
  prior   = m.events.f.reach.priors,
  data    = m.events.f.reach.data,
  chains = 4,
  cores = 4,
  seed = 42,
  warmup = 500,
  iter = 2000,
  file = paste0(fits_path, 'resource_discoveries_fast_p_reach.rds'),
  backend = "cmdstanr",
  threads = threading(100),
  control = list(adapt_delta = 0.95),
  save_pars = save_pars(all = TRUE)
  )
summary(m.events.f.reach.fit)
##  Family: bernoulli 
##   Links: mu = logit 
## Formula: IsOnResource ~ gp(Timepoint, by = SignalingType) 
##    Data: m.events.f.reach.data (Number of observations: 47910) 
##   Draws: 4 chains, each with iter = 2000; warmup = 500; thin = 1;
##          total post-warmup draws = 6000
## 
## Gaussian Process Hyperparameters:
##                                    Estimate Est.Error l-95% CI u-95% CI Rhat Bulk_ESS Tail_ESS
## sdgp(gpTimepointSignalingTypeNP)       0.99      0.15     0.72     1.32 1.00     5555     4240
## sdgp(gpTimepointSignalingTypeVP)       1.11      0.15     0.83     1.43 1.00     4518     4285
## sdgp(gpTimepointSignalingTypeFP)       1.17      0.15     0.89     1.48 1.00     5339     4509
## lscale(gpTimepointSignalingTypeNP)     0.62      0.09     0.46     0.83 1.00     6123     4681
## lscale(gpTimepointSignalingTypeVP)     0.44      0.04     0.37     0.53 1.00     5420     4760
## lscale(gpTimepointSignalingTypeFP)     0.43      0.04     0.36     0.50 1.00     4666     4500
## 
## Regression Coefficients:
##           Estimate Est.Error l-95% CI u-95% CI Rhat Bulk_ESS Tail_ESS
## Intercept    -2.34      0.40    -3.14    -1.53 1.00     2027     3164
## 
## Draws were sampled using sample(hmc). For each parameter, Bulk_ESS
## and Tail_ESS are effective sample size measures, and Rhat is the potential
## scale reduction factor on split chains (at convergence, Rhat = 1).

Model diagnostics

plot(m.events.f.reach.fit, ask = F)

Figure

m.events.f.reach.draws <- m.events.f.reach.data %>%
  mutate(SignalingType = factor(SignalingType, levels = c('NP', 'VP', 'FP'))) %>% 
  data_grid(Timepoint, SignalingType) %>%
  tidybayes::add_epred_draws(m.events.f.reach.fit, allow_new_levels = TRUE, re_formula = m.events.f.reach.formula)
events_fast_p_reach_fig <- m.events.f.reach.draws %>% 
  ggplot(aes(x = Timepoint, y = .epred, fill = SignalingType, color = SignalingType)) +   # , group = SignalingType
  stat_lineribbon(aes(group = paste(group, ...width..)), .width = c(.9), alpha = 1/2) +
  scale_color_manual(breaks = c('NP', 'VP', 'FP'),
                     aesthetics = c("colour", "fill"),
                    values = c("#DF536B", "#61D04F", "#2297E6"), 
                    guide = guide_legend(
                      title = "Signaling", 
                     )
                    ) +
  # theme_nice(legend.pos = 'top') +
  theme_clean() +
  panel_border() +
  theme(legend.position    = "none") +
  scale_y_continuous(
    limits  = c(0, 0.5),
    expand  = expansion(mult = c(0, 0))
  ) +
  scale_x_continuous(
    limits  = c(0, 30),
    expand  = expansion(mult = c(0, 0))
  ) +
  labs(x = "Time [s]", 
       y = "P(on resource)") #  "Probability of being on resource (other players)"

events_fast_p_reach_fig

Probability of reaching resource VP

m.events.f.reach.VP.data <- resource_discoveries_data_vp %>% 
  filter(ResourceSpeed == 'fast', PlayerOrderCat == 'others') %>% 
  filter(((Timepoint * 10) %% 10 == 0))


m.events.f.reach.VP.formula <- brmsformula(
  IsOnResource ~ gp(Timepoint, by = SignalingType),
  family = bernoulli(link = "logit")
  )
m.events.f.reach.VP.priors <-
  prior(normal(0, 1), class = "Intercept") +
  prior(inv_gamma(10, 20), class = "lscale", coef = "gpTimepointSignalingTypeVP_NS") +
  prior(inv_gamma(10, 20), class = "lscale", coef = "gpTimepointSignalingTypeVP_S") +
  prior(normal(0, 0.25), class = "sdgp", lb = 0)

Prior predictive checks

m.events.f.reach.VP.fit_prior <- brm(
  formula = m.events.f.reach.VP.formula,
  prior   = m.events.f.reach.VP.priors,
  data    = m.events.f.reach.VP.data,
  chains  = 4,
  cores   = 4,
  seed    = 42,
  iter    = 2000,
  file = paste0(fits_path, 'resource_discoveries_fast_p_reach_vp_prior.rds'),
  backend = "cmdstanr",
  threads = threading(100),
  control = list(adapt_delta = 0.95),
  save_pars = save_pars(all = TRUE),
  sample_prior = "only"
  )
plot(conditional_effects(m.events.f.reach.VP.fit_prior, ndraws = 20, spaghetti = TRUE), points = F, ask = F)

Model fitting

m.events.f.reach.VP.fit <- brm(
  formula = m.events.f.reach.VP.formula,
  prior   = m.events.f.reach.VP.priors,
  data    = m.events.f.reach.VP.data,
  chains = 4,
  cores = 4,
  seed = 42,
  warmup = 500,
  iter = 2000,
  file = paste0(fits_path, 'resource_discoveries_fast_p_reach_vp.rds'),
  backend = "cmdstanr",
  threads = threading(100),
  control = list(adapt_delta = 0.95),
  save_pars = save_pars(all = TRUE)
  )
summary(m.events.f.reach.VP.fit)
##  Family: bernoulli 
##   Links: mu = logit 
## Formula: IsOnResource ~ gp(Timepoint, by = SignalingType) 
##    Data: m.events.f.reach.VP.data (Number of observations: 18480) 
##   Draws: 4 chains, each with iter = 2000; warmup = 500; thin = 1;
##          total post-warmup draws = 6000
## 
## Gaussian Process Hyperparameters:
##                                       Estimate Est.Error l-95% CI u-95% CI Rhat Bulk_ESS Tail_ESS
## sdgp(gpTimepointSignalingTypeVP_NS)       1.03      0.16     0.75     1.35 1.00     5009     4151
## sdgp(gpTimepointSignalingTypeVP_S)        0.91      0.15     0.64     1.24 1.00     5088     3649
## lscale(gpTimepointSignalingTypeVP_NS)     0.48      0.05     0.39     0.57 1.00     5395     4640
## lscale(gpTimepointSignalingTypeVP_S)      0.77      0.15     0.50     1.07 1.00     3454     4529
## 
## Regression Coefficients:
##           Estimate Est.Error l-95% CI u-95% CI Rhat Bulk_ESS Tail_ESS
## Intercept    -2.04      0.48    -2.94    -1.09 1.00     2377     3455
## 
## Draws were sampled using sample(hmc). For each parameter, Bulk_ESS
## and Tail_ESS are effective sample size measures, and Rhat is the potential
## scale reduction factor on split chains (at convergence, Rhat = 1).

Model diagnostics

plot(m.events.f.reach.VP.fit, ask = F)

Figure

m.events.f.reach.VP.draws <- m.events.f.reach.VP.data %>%
  mutate(SignalingType = factor(SignalingType, levels = c('VP_NS', 'VP_S'))) %>%
  data_grid(Timepoint, SignalingType) %>%
  tidybayes::add_epred_draws(m.events.f.reach.VP.fit, allow_new_levels = TRUE, re_formula = m.events.f.reach.VP.formula)
events_fast_p_reach_vp_fig <- m.events.f.reach.VP.draws %>% 
  ggplot(aes(x = Timepoint, y = .epred, fill = SignalingType, color = SignalingType)) +   # , group = SignalingType
  stat_lineribbon(aes(group = paste(group, ...width..)), .width = c(.9), alpha = 1/2) +
  theme_nice(legend.pos = 'top') +
  scale_color_manual(breaks = c('VP_NS', 'VP_S'),
                     aesthetics = c("colour", "fill"),
                    values = c("#000000", "#DF536B"), 
                    guide = guide_legend(
                    title = "Signaling", 
                     )
                    ) +
  theme_clean() +
  panel_border() +
  theme(legend.position    = "none") +
  scale_y_continuous(
    limits  = c(0, 0.4),
    expand  = expansion(mult = c(0, 0))
  ) +
  scale_x_continuous(
    limits  = c(0, 30),
    expand  = expansion(mult = c(0, 0))
  ) +
  labs(x = "Time [s]", 
       y = "P(on resource)")

events_fast_p_reach_vp_fig

Out degree

m.events.f.OutDegree.data  <- resource_discoveries_data %>% 
  filter(ResourceSpeed == 'fast', SignalingType != 'A', PlayerOrderCat == 'others') %>% 
  filter(((Timepoint * 10) %% 10 == 0))

m.events.f.OutDegree.formula <- brmsformula(
  OutDegree ~ gp(Timepoint, by = SignalingType), 
  family = poisson(link = "log")
  )
m.events.f.OutDegree.priors <-
  prior(normal(0, 1), class = "Intercept") +
  prior(inv_gamma(10, 20), class = "lscale", coef = "gpTimepointSignalingTypeFP") +
  prior(inv_gamma(10, 20), class = "lscale", coef = "gpTimepointSignalingTypeNP") +
  prior(inv_gamma(10, 20), class = "lscale", coef = "gpTimepointSignalingTypeVP") +
  prior(normal(0, 0.25), class = "sdgp", lb = 0)

Prior predictive checks

m.events.f.OutDegree.fit_prior <- brm(
  formula = m.events.f.OutDegree.formula,
  family = poisson(link = "log"),
  prior = m.events.f.OutDegree.priors,
  m.events.f.OutDegree.data,
  chains  = 4,
  cores   = 4,
  seed    = 42,
  iter    = 2000,
  file = paste0(fits_path, 'resource_discoveries_fast_out_degree._prior.rds'),
  backend = "cmdstanr",
  threads = threading(100),
  control = list(adapt_delta = 0.95),
  save_pars = save_pars(all = TRUE),
  sample_prior = "only"
  )
plot(conditional_effects(m.events.f.OutDegree.fit_prior, ndraws = 20, spaghetti = TRUE), points = F, ask = F)

Model fitting

m.events.f.OutDegree.fit <- brm(
  formula = m.events.f.OutDegree.formula,
  prior   = m.events.f.OutDegree.priors,
  data    = m.events.f.OutDegree.data ,
  chains = 4,
  cores = 4,
  seed = 42,
  warmup = 500,
  iter = 2000,
  file = paste0(fits_path, 'resource_discoveries_fast_out_degree.rds'),
  backend = "cmdstanr",
  threads = threading(100),
  control = list(adapt_delta = 0.95),
  save_pars = save_pars(all = TRUE)
  )
summary(m.events.f.OutDegree.fit)
##  Family: poisson 
##   Links: mu = log 
## Formula: OutDegree ~ gp(Timepoint, by = SignalingType) 
##    Data: m.events.f.OutDegree.data (Number of observations: 47910) 
##   Draws: 4 chains, each with iter = 2000; warmup = 500; thin = 1;
##          total post-warmup draws = 6000
## 
## Gaussian Process Hyperparameters:
##                                    Estimate Est.Error l-95% CI u-95% CI Rhat Bulk_ESS Tail_ESS
## sdgp(gpTimepointSignalingTypeNP)       0.32      0.14     0.11     0.64 1.00     2967     2830
## sdgp(gpTimepointSignalingTypeVP)       0.34      0.12     0.15     0.62 1.00     4168     4071
## sdgp(gpTimepointSignalingTypeFP)       0.60      0.15     0.34     0.92 1.00     3678     3653
## lscale(gpTimepointSignalingTypeNP)     1.54      0.47     0.92     2.70 1.00     3729     3398
## lscale(gpTimepointSignalingTypeVP)     1.82      0.53     1.06     3.10 1.00     6116     3805
## lscale(gpTimepointSignalingTypeFP)     0.74      0.10     0.57     0.96 1.00     4236     3871
## 
## Regression Coefficients:
##           Estimate Est.Error l-95% CI u-95% CI Rhat Bulk_ESS Tail_ESS
## Intercept    -0.10      0.19    -0.49     0.24 1.00     1893     2985
## 
## Draws were sampled using sample(hmc). For each parameter, Bulk_ESS
## and Tail_ESS are effective sample size measures, and Rhat is the potential
## scale reduction factor on split chains (at convergence, Rhat = 1).

Model diagnostics

plot(m.events.f.OutDegree.fit, ask = F)

m.events.f.OutDegree.me <- conditional_effects(m.events.f.OutDegree.fit, ndraws = 200, spaghetti = TRUE)
plot(m.events.f.OutDegree.me, ask = FALSE, points = F)

Statistical Comparisons

m.events.f.OutDegree.fit %>%
  emmeans(~ SignalingType, 
          at = list(Timepoint = 10),
          epred = TRUE, 
          type = "response") %>%
  contrast(method = "revpairwise", simple = "each", combine = TRUE) %>%
  gather_emmeans_draws() %>%
  mean_hdci(.width = 0.9) %>%
  mutate(.value = round(.value, 2), .lower = round(.lower, 2), .upper = round(.upper, 2)) %>%
  kable("html", digits = 2) %>%
  kable_classic(full_width = T, position = "center")
contrast .value .lower .upper .width .point .interval
FP - NP 0.32 0.29 0.36 0.9 mean hdci
FP - VP 0.27 0.23 0.30 0.9 mean hdci
VP - NP 0.06 0.03 0.08 0.9 mean hdci

Figure

m.events.f.OutDegree.draws <- m.events.f.OutDegree.data  %>%
  mutate(SignalingType = factor(SignalingType, levels = c('NP', 'VP', 'FP'))) %>% 
  data_grid(Timepoint, SignalingType) %>%
  tidybayes::add_epred_draws(m.events.f.OutDegree.fit, allow_new_levels = TRUE, 
                             re_formula = m.events.f.OutDegree.formula)
events_fast_outdegree_fig <- m.events.f.OutDegree.draws %>% 
  ggplot(aes(x = Timepoint, y = .epred, fill = SignalingType, color = SignalingType)) +   # , group = SignalingType
  stat_lineribbon(aes(group = paste(group, ...width..)), .width = c(.9), alpha = 1/2) +
  scale_color_manual(breaks = c('NP', 'VP', 'FP'),
                     aesthetics = c("colour", "fill"),
                    values = c("#DF536B", "#61D04F", "#2297E6"), 
                    guide = guide_legend(
                      title = "Signaling", 
                     )
                    ) +
  # theme_nice(legend.pos = 'top') +
  theme_clean() +
  panel_border() +
  theme(legend.position    = "none") +
  scale_x_continuous(
    limits  = c(0, 30),
    expand  = expansion(mult = c(0, 0))
  ) +
  labs(x = "Time [s]", 
       y = "Out Degree")

events_fast_outdegree_fig

Out degree (Discoverer)

m.events.f.OutDegree.Discoverer.data  <- resource_discoveries_data %>% 
  filter(ResourceSpeed == 'fast', SignalingType != 'A', PlayerOrderCat == 'first') %>% 
  filter(((Timepoint * 10) %% 10 == 0))

m.events.f.OutDegree.Discoverer.formula <- brmsformula(
  OutDegree ~ gp(Timepoint, by = SignalingType), 
  family = poisson(link = "log")
  )
m.events.f.OutDegree.Discoverer.priors <-
  prior(normal(0, 1), class = "Intercept") +
  prior(inv_gamma(10, 20), class = "lscale", coef = "gpTimepointSignalingTypeFP") +
  prior(inv_gamma(10, 20), class = "lscale", coef = "gpTimepointSignalingTypeNP") +
  prior(inv_gamma(10, 20), class = "lscale", coef = "gpTimepointSignalingTypeVP") +
  prior(normal(0, 0.25), class = "sdgp", lb = 0)

Prior predictive checks

m.events.f.OutDegree.Discoverer.fit_prior <- brm(
  formula = m.events.f.OutDegree.Discoverer.formula,
  family = poisson(link = "log"),
  prior = m.events.f.OutDegree.Discoverer.priors,
  m.events.f.OutDegree.Discoverer.data,
  chains  = 4,
  cores   = 4,
  seed    = 42,
  iter    = 2000,
  file = paste0(fits_path, 'resource_discoveries_fast_out_degree_discoverer_prior.rds'),
  backend = "cmdstanr",
  threads = threading(100),
  control = list(adapt_delta = 0.95),
  save_pars = save_pars(all = TRUE),
  sample_prior = "only"
  )
plot(conditional_effects(m.events.f.OutDegree.Discoverer.fit_prior, ndraws = 20, spaghetti = TRUE), points = F, ask = F)

Model fitting

m.events.f.OutDegree.Discoverer.fit <- brm(
  formula = m.events.f.OutDegree.Discoverer.formula,
  prior   = m.events.f.OutDegree.Discoverer.priors,
  data    = m.events.f.OutDegree.Discoverer.data ,
  chains = 4,
  cores = 4,
  seed = 42,
  warmup = 500,
  iter = 2000,
  file = paste0(fits_path, 'resource_discoveries_fast_out_degree_discoverer.rds'),
  backend = "cmdstanr",
  threads = threading(100),
  control = list(adapt_delta = 0.95),
  save_pars = save_pars(all = TRUE)
  )
summary(m.events.f.OutDegree.Discoverer.fit)
##  Family: poisson 
##   Links: mu = log 
## Formula: OutDegree ~ gp(Timepoint, by = SignalingType) 
##    Data: m.events.f.OutDegree.Discoverer.data (Number of observations: 12840) 
##   Draws: 4 chains, each with iter = 2000; warmup = 500; thin = 1;
##          total post-warmup draws = 6000
## 
## Gaussian Process Hyperparameters:
##                                    Estimate Est.Error l-95% CI u-95% CI Rhat Bulk_ESS Tail_ESS
## sdgp(gpTimepointSignalingTypeNP)       0.40      0.14     0.17     0.71 1.00     4617     3563
## sdgp(gpTimepointSignalingTypeVP)       0.56      0.15     0.30     0.87 1.00     5613     4270
## sdgp(gpTimepointSignalingTypeFP)       0.67      0.15     0.41     0.99 1.00     5527     3415
## lscale(gpTimepointSignalingTypeNP)     1.83      0.53     1.06     3.12 1.00     8727     4320
## lscale(gpTimepointSignalingTypeVP)     1.00      0.17     0.71     1.37 1.00     6807     4902
## lscale(gpTimepointSignalingTypeFP)     0.86      0.13     0.63     1.13 1.00     6645     4521
## 
## Regression Coefficients:
##           Estimate Est.Error l-95% CI u-95% CI Rhat Bulk_ESS Tail_ESS
## Intercept    -0.54      0.27    -1.09    -0.04 1.00     2856     3232
## 
## Draws were sampled using sample(hmc). For each parameter, Bulk_ESS
## and Tail_ESS are effective sample size measures, and Rhat is the potential
## scale reduction factor on split chains (at convergence, Rhat = 1).

Model diagnostics

plot(m.events.f.OutDegree.Discoverer.fit, ask = F)

m.events.f.OutDegree.Discoverer.me <- conditional_effects(m.events.f.OutDegree.Discoverer.fit, ndraws = 200, spaghetti = TRUE)
plot(m.events.f.OutDegree.Discoverer.me, ask = FALSE, points = F)

Statistical Comparisons

m.events.f.OutDegree.Discoverer.fit %>%
  emmeans(~ SignalingType, 
          at = list(Timepoint = 10),
          epred = TRUE, 
          type = "response") %>%
  contrast(method = "revpairwise", simple = "each", combine = TRUE) %>%
  gather_emmeans_draws() %>%
  mean_hdci(.width = 0.9) %>%
  mutate(.value = round(.value, 2), .lower = round(.lower, 2), .upper = round(.upper, 2)) %>%
  kable("html", digits = 2) %>%
  kable_classic(full_width = T, position = "center")
contrast .value .lower .upper .width .point .interval
FP - NP -0.15 -0.20 -0.11 0.9 mean hdci
FP - VP -0.06 -0.11 -0.01 0.9 mean hdci
VP - NP -0.10 -0.15 -0.06 0.9 mean hdci

Figure

m.events.f.OutDegree.Discoverer.draws <- m.events.f.OutDegree.Discoverer.data  %>%
  mutate(SignalingType = factor(SignalingType, levels = c('NP', 'VP', 'FP'))) %>% 
  data_grid(Timepoint, SignalingType) %>%
  tidybayes::add_epred_draws(m.events.f.OutDegree.Discoverer.fit, allow_new_levels = TRUE, 
                             re_formula = m.events.f.OutDegree.Discoverer.formula)
events_fast_outdegree_discoverer_fig <- m.events.f.OutDegree.Discoverer.draws %>% 
  ggplot(aes(x = Timepoint, y = .epred, fill = SignalingType, color = SignalingType)) +
  stat_lineribbon(aes(group = paste(group, ...width..)), .width = c(.9), alpha = 1/2) +
  scale_color_manual(breaks = c('NP', 'VP', 'FP'),
                     aesthetics = c("colour", "fill"),
                    values = c("#DF536B", "#61D04F", "#2297E6"), 
                    guide = guide_legend(
                      title = "Signaling", 
                     )
                    ) +
  # theme_nice(legend.pos = 'top') +
  theme_clean() +
  panel_border() +
  theme(legend.position    = "none") +
  scale_x_continuous(
    limits  = c(0, 30),
    expand  = expansion(mult = c(0, 0))
  ) +
  labs(x = "Time [s]", 
       y = "Out Degree")

events_fast_outdegree_discoverer_fig

Out degree VP

m.events.f.OutDegree.VP.data  <- resource_discoveries_data_vp %>% 
  filter(ResourceSpeed == 'fast', PlayerOrderCat == 'others') %>% 
  filter(((Timepoint * 10) %% 10 == 0))

m.events.f.OutDegree.VP.formula <- brmsformula(
  OutDegree ~ 1 + gp(Timepoint, by = SignalingType), 
  family = negbinomial()
  )
m.events.f.OutDegree.VP.priors <-
  prior(normal(0, 1), class = "Intercept") +
  prior(inv_gamma(10, 20), class = "lscale", coef = "gpTimepointSignalingTypeVP_NS") +
  prior(inv_gamma(10, 20), class = "lscale", coef = "gpTimepointSignalingTypeVP_S") +
  prior(normal(0, 0.1), class = "sdgp", lb = 0)

Prior predictive checks

m.events.f.OutDegree.VP.fit_prior <- brm(
  formula = m.events.f.OutDegree.VP.formula,
  prior   = m.events.f.OutDegree.VP.priors,
  data    = m.events.f.OutDegree.VP.data,
  chains  = 4,
  cores   = 4,
  seed    = 42,
  iter    = 2000,
  file = paste0(fits_path, 'resource_discoveries_fast_out_degree_vp_prior.rds'),
  backend = "cmdstanr",
  threads = threading(100),
  control = list(adapt_delta = 0.95),
  save_pars = save_pars(all = TRUE),
  sample_prior = "only"
  )
plot(conditional_effects(m.events.f.OutDegree.VP.fit_prior, ndraws = 20, spaghetti = TRUE), points = F, ask = F)

Model fitting

m.events.f.OutDegree.VP.fit <- brm(
  formula = m.events.f.OutDegree.VP.formula,
  prior   = m.events.f.OutDegree.VP.priors,
  data    = m.events.f.OutDegree.VP.data,
  chains = 4,
  cores = 4,
  seed = 42,
  warmup = 500,
  iter = 2000,
  file = paste0(fits_path, 'resource_discoveries_fast_out_degree_vp.rds'),
  backend = "cmdstanr",
  threads = threading(100),
  control = list(adapt_delta = 0.95),
  save_pars = save_pars(all = TRUE)
  )
summary(m.events.f.OutDegree.VP.fit)
##  Family: negbinomial 
##   Links: mu = log; shape = identity 
## Formula: OutDegree ~ 1 + gp(Timepoint, by = SignalingType) 
##    Data: m.events.f.OutDegree.VP.data (Number of observations: 18480) 
##   Draws: 4 chains, each with iter = 2000; warmup = 500; thin = 1;
##          total post-warmup draws = 6000
## 
## Gaussian Process Hyperparameters:
##                                       Estimate Est.Error l-95% CI u-95% CI Rhat Bulk_ESS Tail_ESS
## sdgp(gpTimepointSignalingTypeVP_NS)       0.11      0.06     0.01     0.23 1.00     2074     1367
## sdgp(gpTimepointSignalingTypeVP_S)        0.24      0.06     0.14     0.36 1.00     4938     3879
## lscale(gpTimepointSignalingTypeVP_NS)     2.06      0.67     1.13     3.70 1.00     7445     4453
## lscale(gpTimepointSignalingTypeVP_S)      1.16      0.27     0.76     1.80 1.00     5301     4197
## 
## Regression Coefficients:
##           Estimate Est.Error l-95% CI u-95% CI Rhat Bulk_ESS Tail_ESS
## Intercept     0.07      0.09    -0.13     0.27 1.00     2342     2566
## 
## Further Distributional Parameters:
##       Estimate Est.Error l-95% CI u-95% CI Rhat Bulk_ESS Tail_ESS
## shape     3.66      0.19     3.31     4.06 1.00     9055     4160
## 
## Draws were sampled using sample(hmc). For each parameter, Bulk_ESS
## and Tail_ESS are effective sample size measures, and Rhat is the potential
## scale reduction factor on split chains (at convergence, Rhat = 1).

Model diagnostics

plot(m.events.f.OutDegree.VP.fit, ask = F)

m.events.f.OutDegree.VP.me <- conditional_effects(m.events.f.OutDegree.VP.fit, ndraws = 200, spaghetti = TRUE)
plot(m.events.f.OutDegree.VP.me, ask = FALSE, points = F)

Figure

m.events.f.OutDegree.VP.draws <- m.events.f.OutDegree.VP.data  %>%
  mutate(SignalingType = factor(SignalingType, levels = c('VP_NS', 'VP_S'))) %>%
  data_grid(Timepoint, SignalingType) %>%
  tidybayes::add_epred_draws(m.events.f.OutDegree.VP.fit, allow_new_levels = TRUE, 
                             re_formula = m.events.f.OutDegree.VP.formula)
events_fast_outdegree_vp_fig <- m.events.f.OutDegree.VP.draws %>% 
  ggplot(aes(x = Timepoint, y = .epred, fill = SignalingType, color = SignalingType)) +
  stat_lineribbon(aes(group = paste(group, ...width..)), .width = c(.9), alpha = 1/2) +
  theme_nice(legend.pos = 'none') +
  scale_color_manual(breaks = c('VP_NS', 'VP_S'),
                     aesthetics = c("colour", "fill"),
                    values = c("#000000", "#DF536B"), 
                    guide = guide_legend(
                    title = "Signaling", 
                     )
                    ) +
  theme_clean() +
  panel_border() +
  theme(legend.position    = "none") +
  scale_x_continuous(
    limits  = c(0, 30),
    expand  = expansion(mult = c(0, 0))
  ) +
  labs(x = "Time [s]", 
       y = "Out Degree")


events_fast_outdegree_vp_fig

In degree

m.events.f.InDegree.data <- resource_discoveries_data %>% 
  filter(ResourceSpeed == 'fast', SignalingType != 'A', PlayerOrderCat == 'first') %>% 
  filter(((Timepoint * 10) %% 10 == 0))

m.events.f.InDegree.formula <- brmsformula(
  InDegree ~ gp(Timepoint, by = SignalingType), 
  family = poisson(link = "log")
  )
m.events.f.InDegree.priors <-
  prior(normal(0, 1), class = "Intercept") +
  prior(inv_gamma(10, 20), class = "lscale", coef = "gpTimepointSignalingTypeFP") +
  prior(inv_gamma(10, 20), class = "lscale", coef = "gpTimepointSignalingTypeNP") +
  prior(inv_gamma(10, 20), class = "lscale", coef = "gpTimepointSignalingTypeVP") +
  prior(normal(0, 0.1), class = "sdgp", lb = 0)

Prior predictive checks

m.events.f.InDegree.fit_prior <- brm(
  formula = m.events.f.InDegree.formula,
  prior   = m.events.f.InDegree.priors,
  data    = m.events.f.InDegree.data,
  chains  = 4,
  cores   = 4,
  seed    = 42,
  iter    = 2000,
  file = paste0(fits_path, 'resource_discoveries_fast_in_degree_prior.rds'),
  backend = "cmdstanr",
  threads = threading(100),
  control = list(adapt_delta = 0.95),
  save_pars = save_pars(all = TRUE),
  sample_prior = "only"
  )
plot(conditional_effects(m.events.f.InDegree.fit_prior, ndraws = 20, spaghetti = TRUE), points = F, ask = F)

summary(m.events.f.InDegree.fit_prior)
##  Family: poisson 
##   Links: mu = log 
## Formula: InDegree ~ gp(Timepoint, by = SignalingType) 
##    Data: m.events.f.InDegree.data (Number of observations: 12840) 
##   Draws: 4 chains, each with iter = 2000; warmup = 1000; thin = 1;
##          total post-warmup draws = 4000
## 
## Gaussian Process Hyperparameters:
##                                    Estimate Est.Error l-95% CI u-95% CI Rhat Bulk_ESS Tail_ESS
## sdgp(gpTimepointSignalingTypeNP)       0.08      0.06     0.00     0.23 1.00     3540     1828
## sdgp(gpTimepointSignalingTypeVP)       0.08      0.06     0.00     0.22 1.00     3364     1697
## sdgp(gpTimepointSignalingTypeFP)       0.08      0.06     0.00     0.22 1.00     3095     1507
## lscale(gpTimepointSignalingTypeNP)     2.21      0.78     1.18     4.08 1.00     7405     2754
## lscale(gpTimepointSignalingTypeVP)     2.21      0.76     1.17     4.07 1.00     6215     2912
## lscale(gpTimepointSignalingTypeFP)     2.23      0.78     1.19     4.22 1.00     6676     2511
## 
## Regression Coefficients:
##           Estimate Est.Error l-95% CI u-95% CI Rhat Bulk_ESS Tail_ESS
## Intercept    -0.00      1.03    -1.99     1.97 1.00     7638     2844
## 
## Draws were sampled using sample(hmc). For each parameter, Bulk_ESS
## and Tail_ESS are effective sample size measures, and Rhat is the potential
## scale reduction factor on split chains (at convergence, Rhat = 1).

Model fitting

m.events.f.InDegree.fit <- brm(
  formula = m.events.f.InDegree.formula,
  prior   = m.events.f.InDegree.priors,
  data    = m.events.f.InDegree.data,
  chains = 4,
  cores = 4,
  seed = 42,
  warmup = 500,
  iter = 2000,
  file = paste0(fits_path, 'resource_discoveries_fast_in_degree.rds'),
  backend = "cmdstanr",
  threads = threading(100),
  control = list(adapt_delta = 0.95),
  save_pars = save_pars(all = TRUE)
  )
summary(m.events.f.InDegree.fit)
##  Family: poisson 
##   Links: mu = log 
## Formula: InDegree ~ gp(Timepoint, by = SignalingType) 
##    Data: m.events.f.InDegree.data (Number of observations: 12840) 
##   Draws: 4 chains, each with iter = 2000; warmup = 500; thin = 1;
##          total post-warmup draws = 6000
## 
## Gaussian Process Hyperparameters:
##                                    Estimate Est.Error l-95% CI u-95% CI Rhat Bulk_ESS Tail_ESS
## sdgp(gpTimepointSignalingTypeNP)       0.09      0.06     0.01     0.23 1.00     2529     2808
## sdgp(gpTimepointSignalingTypeVP)       0.20      0.06     0.10     0.33 1.00     5832     4260
## sdgp(gpTimepointSignalingTypeFP)       0.38      0.06     0.27     0.51 1.00     6580     4532
## lscale(gpTimepointSignalingTypeNP)     2.06      0.73     1.07     3.83 1.00     8533     4284
## lscale(gpTimepointSignalingTypeVP)     1.32      0.40     0.79     2.34 1.00     6536     3817
## lscale(gpTimepointSignalingTypeFP)     0.46      0.04     0.38     0.55 1.00     7060     4615
## 
## Regression Coefficients:
##           Estimate Est.Error l-95% CI u-95% CI Rhat Bulk_ESS Tail_ESS
## Intercept     0.16      0.08    -0.04     0.31 1.00     1982     2219
## 
## Draws were sampled using sample(hmc). For each parameter, Bulk_ESS
## and Tail_ESS are effective sample size measures, and Rhat is the potential
## scale reduction factor on split chains (at convergence, Rhat = 1).

Model diagnostics

plot(m.events.f.InDegree.fit, ask = F)

m.events.f.InDegree.me <- conditional_effects(m.events.f.InDegree.fit, ndraws = 200, spaghetti = TRUE)
plot(m.events.f.InDegree.me, ask = FALSE, points = F)

Statistical Comparisons

m.events.f.InDegree.fit %>%
  emmeans(~ SignalingType, 
          at = list(Timepoint = 10),
          epred = TRUE, 
          type = "response") %>%
  contrast(method = "revpairwise", simple = "each", combine = TRUE) %>%
  gather_emmeans_draws() %>%
  mean_hdci(.width = 0.9) %>%
  mutate(.value = round(.value, 2), .lower = round(.lower, 2), .upper = round(.upper, 2)) %>%
  kable("html", digits = 2) %>%
  kable_classic(full_width = T, position = "center")
contrast .value .lower .upper .width .point .interval
FP - NP 0.80 0.72 0.88 0.9 mean hdci
FP - VP 0.62 0.54 0.70 0.9 mean hdci
VP - NP 0.18 0.13 0.23 0.9 mean hdci

Figure

m.events.f.InDegree.draws <- m.events.f.InDegree.data %>%
  mutate(SignalingType = factor(SignalingType, levels = c('NP', 'VP', 'FP'))) %>% 
  data_grid(Timepoint, SignalingType) %>%
  tidybayes::add_epred_draws(m.events.f.InDegree.fit, allow_new_levels = TRUE, re_formula = m.events.f.InDegree.formula)
events_fast_in_degree_fig <- m.events.f.InDegree.draws %>% 
  ggplot(aes(x = Timepoint, y = .epred, fill = SignalingType, color = SignalingType)) +   # , group = SignalingType
  stat_lineribbon(aes(group = paste(group, ...width..)), .width = c(.9), alpha = 1/2) +
  scale_color_manual(breaks = c('NP', 'VP', 'FP'),
                     aesthetics = c("colour", "fill"),
                    values = c("#DF536B", "#61D04F", "#2297E6"), 
                    guide = guide_legend(
                      title = "Signaling", 
                     )
                    ) +
  # theme_nice(legend.pos = 'top') +
  theme_clean() +
  panel_border() +
  theme(legend.position    = "none") +
  scale_x_continuous(
    limits  = c(0, 30),
    expand  = expansion(mult = c(0, 0))
  ) +
  labs(x = "Time [s]", 
       y = "In Degree")

events_fast_in_degree_fig

In degree (Others)

m.events.f.InDegree.Others.data <- resource_discoveries_data %>% 
  filter(ResourceSpeed == 'fast', SignalingType != 'A', PlayerOrderCat == 'others') %>% 
  filter(((Timepoint * 10) %% 10 == 0))

m.events.f.InDegree.Others.formula <- brmsformula(
  InDegree ~ gp(Timepoint, by = SignalingType), 
  family = poisson(link = "log")
  )
m.events.f.InDegree.Others.priors <-
  prior(normal(0, 1), class = "Intercept") +
  prior(inv_gamma(10, 20), class = "lscale", coef = "gpTimepointSignalingTypeFP") +
  prior(inv_gamma(10, 20), class = "lscale", coef = "gpTimepointSignalingTypeNP") +
  prior(inv_gamma(10, 20), class = "lscale", coef = "gpTimepointSignalingTypeVP") +
  prior(normal(0, 0.1), class = "sdgp", lb = 0)

Prior predictive checks

m.events.f.InDegree.Others.fit_prior <- brm(
  formula = m.events.f.InDegree.Others.formula,
  prior   = m.events.f.InDegree.Others.priors,
  data    = m.events.f.InDegree.Others.data,
  chains  = 4,
  cores   = 4,
  seed    = 42,
  iter    = 2000,
  file = paste0(fits_path, 'resource_discoveries_fast_in_degree_others_prior.rds'),
  backend = "cmdstanr",
  threads = threading(100),
  control = list(adapt_delta = 0.95),
  save_pars = save_pars(all = TRUE),
  sample_prior = "only"
  )
plot(conditional_effects(m.events.f.InDegree.Others.fit_prior, ndraws = 20, spaghetti = TRUE), points = F, ask = F)

summary(m.events.f.InDegree.Others.fit_prior)
##  Family: poisson 
##   Links: mu = log 
## Formula: InDegree ~ gp(Timepoint, by = SignalingType) 
##    Data: m.events.f.InDegree.Others.data (Number of observations: 47910) 
##   Draws: 4 chains, each with iter = 2000; warmup = 1000; thin = 1;
##          total post-warmup draws = 4000
## 
## Gaussian Process Hyperparameters:
##                                    Estimate Est.Error l-95% CI u-95% CI Rhat Bulk_ESS Tail_ESS
## sdgp(gpTimepointSignalingTypeNP)       0.08      0.06     0.00     0.23 1.00     3540     1828
## sdgp(gpTimepointSignalingTypeVP)       0.08      0.06     0.00     0.22 1.00     3364     1697
## sdgp(gpTimepointSignalingTypeFP)       0.08      0.06     0.00     0.22 1.00     3095     1507
## lscale(gpTimepointSignalingTypeNP)     2.21      0.78     1.18     4.08 1.00     7405     2754
## lscale(gpTimepointSignalingTypeVP)     2.21      0.76     1.17     4.07 1.00     6215     2912
## lscale(gpTimepointSignalingTypeFP)     2.23      0.78     1.19     4.22 1.00     6676     2511
## 
## Regression Coefficients:
##           Estimate Est.Error l-95% CI u-95% CI Rhat Bulk_ESS Tail_ESS
## Intercept    -0.00      1.03    -1.99     1.97 1.00     7638     2844
## 
## Draws were sampled using sample(hmc). For each parameter, Bulk_ESS
## and Tail_ESS are effective sample size measures, and Rhat is the potential
## scale reduction factor on split chains (at convergence, Rhat = 1).

Model fitting

m.events.f.InDegree.Others.fit <- brm(
  formula = m.events.f.InDegree.Others.formula,
  prior   = m.events.f.InDegree.Others.priors,
  data    = m.events.f.InDegree.Others.data,
  chains = 4,
  cores = 4,
  seed = 42,
  warmup = 500,
  iter = 2000,
  file = paste0(fits_path, 'resource_discoveries_fast_in_degree_others.rds'),
  backend = "cmdstanr",
  threads = threading(100),
  control = list(adapt_delta = 0.95),
  save_pars = save_pars(all = TRUE)
  )
summary(m.events.f.InDegree.Others.fit)
##  Family: poisson 
##   Links: mu = log 
## Formula: InDegree ~ gp(Timepoint, by = SignalingType) 
##    Data: m.events.f.InDegree.Others.data (Number of observations: 47910) 
##   Draws: 4 chains, each with iter = 2000; warmup = 500; thin = 1;
##          total post-warmup draws = 6000
## 
## Gaussian Process Hyperparameters:
##                                    Estimate Est.Error l-95% CI u-95% CI Rhat Bulk_ESS Tail_ESS
## sdgp(gpTimepointSignalingTypeNP)       0.16      0.06     0.07     0.29 1.00     2952     2456
## sdgp(gpTimepointSignalingTypeVP)       0.20      0.06     0.11     0.32 1.00     3501     3071
## sdgp(gpTimepointSignalingTypeFP)       0.26      0.06     0.16     0.38 1.00     3478     3626
## lscale(gpTimepointSignalingTypeNP)     1.58      0.51     0.90     2.88 1.00     4715     4145
## lscale(gpTimepointSignalingTypeVP)     1.37      0.34     0.88     2.20 1.00     5917     3981
## lscale(gpTimepointSignalingTypeFP)     0.85      0.12     0.64     1.12 1.00     3639     4049
## 
## Regression Coefficients:
##           Estimate Est.Error l-95% CI u-95% CI Rhat Bulk_ESS Tail_ESS
## Intercept    -0.13      0.11    -0.35     0.06 1.00     1341     2472
## 
## Draws were sampled using sample(hmc). For each parameter, Bulk_ESS
## and Tail_ESS are effective sample size measures, and Rhat is the potential
## scale reduction factor on split chains (at convergence, Rhat = 1).

Model diagnostics

plot(m.events.f.InDegree.Others.fit, ask = F)

m.events.f.InDegree.Others.me <- conditional_effects(m.events.f.InDegree.Others.fit, ndraws = 200, spaghetti = TRUE)
plot(m.events.f.InDegree.Others.me, ask = FALSE, points = F)

Statistical Comparisons

m.events.f.InDegree.Others.fit %>%
  emmeans(~ SignalingType, 
          at = list(Timepoint = 10),
          epred = TRUE, 
          type = "response") %>%
  contrast(method = "revpairwise", simple = "each", combine = TRUE) %>%
  gather_emmeans_draws() %>%
  mean_hdci(.width = 0.9) %>%
  mutate(.value = round(.value, 2), .lower = round(.lower, 2), .upper = round(.upper, 2)) %>%
  kable("html", digits = 2) %>%
  kable_classic(full_width = T, position = "center")
contrast .value .lower .upper .width .point .interval
FP - NP 0.06 0.03 0.08 0.9 mean hdci
FP - VP 0.05 0.02 0.07 0.9 mean hdci
VP - NP 0.01 -0.02 0.03 0.9 mean hdci

Figure

m.events.f.InDegree.Others.draws <- m.events.f.InDegree.Others.data %>%
  mutate(SignalingType = factor(SignalingType, levels = c('NP', 'VP', 'FP'))) %>% 
  data_grid(Timepoint, SignalingType) %>%
  tidybayes::add_epred_draws(m.events.f.InDegree.Others.fit, allow_new_levels = TRUE, re_formula = m.events.f.InDegree.Others.formula)
events_fast_in_degree_others_fig <- m.events.f.InDegree.Others.draws %>% 
  ggplot(aes(x = Timepoint, y = .epred, fill = SignalingType, color = SignalingType)) +   # , group = SignalingType
  stat_lineribbon(aes(group = paste(group, ...width..)), .width = c(.9), alpha = 1/2) +
  scale_color_manual(breaks = c('NP', 'VP', 'FP'),
                     aesthetics = c("colour", "fill"),
                    values = c("#DF536B", "#61D04F", "#2297E6"), 
                    guide = guide_legend(
                      title = "Signaling", 
                     )
                    ) +
  # theme_nice(legend.pos = 'top') +
  theme_clean() +
  panel_border() +
  theme(legend.position    = "none") +
  scale_x_continuous(
    limits  = c(0, 30),
    expand  = expansion(mult = c(0, 0))
  ) +
  labs(x = "Time [s]", 
       y = "In Degree")

events_fast_in_degree_others_fig

In degree VP

m.events.f.InDegree.VP.data <- resource_discoveries_data_vp %>% 
  filter(ResourceSpeed == 'fast', PlayerOrderCat == 'first') %>% 
  filter(((Timepoint * 10) %% 10 == 0))

m.events.f.InDegree.VP.formula <- brmsformula(
  InDegree ~ gp(Timepoint, by = SignalingType), 
  family = negbinomial()
  )
m.events.f.InDegree.VP.priors <-
  prior(normal(0, 1), class = "Intercept") +
  prior(inv_gamma(10, 20), class = "lscale", coef = "gpTimepointSignalingTypeVP_NS") +
  prior(inv_gamma(10, 20), class = "lscale", coef = "gpTimepointSignalingTypeVP_S") +
  prior(normal(0, 0.1), class = "sdgp", lb = 0)

Prior predictive checks

m.events.f.InDegree.VP.fit_prior <- brm(
  formula = m.events.f.InDegree.VP.formula,
  prior   = m.events.f.InDegree.VP.priors,
  data    = m.events.f.InDegree.VP.data,
  chains  = 4,
  cores   = 4,
  seed    = 42,
  iter    = 2000,
  file = paste0(fits_path, 'resource_discoveries_fast_in_degree_vp_prior.rds'),
  backend = "cmdstanr",
  threads = threading(100),
  control = list(adapt_delta = 0.95),
  save_pars = save_pars(all = TRUE),
  sample_prior = "only"
  )
plot(conditional_effects(m.events.f.InDegree.VP.fit_prior, ndraws = 20, spaghetti = TRUE), points = F, ask = F)

summary(m.events.f.InDegree.VP.fit_prior)
##  Family: negbinomial 
##   Links: mu = log; shape = identity 
## Formula: InDegree ~ gp(Timepoint, by = SignalingType) 
##    Data: m.events.f.InDegree.VP.data (Number of observations: 5010) 
##   Draws: 4 chains, each with iter = 2000; warmup = 1000; thin = 1;
##          total post-warmup draws = 4000
## 
## Gaussian Process Hyperparameters:
##                                       Estimate Est.Error l-95% CI u-95% CI Rhat Bulk_ESS Tail_ESS
## sdgp(gpTimepointSignalingTypeVP_NS)       0.08      0.06     0.00     0.22 1.00     3635     1707
## sdgp(gpTimepointSignalingTypeVP_S)        0.08      0.06     0.00     0.22 1.00     3614     1899
## lscale(gpTimepointSignalingTypeVP_NS)     2.23      0.80     1.14     4.27 1.00     5093     2773
## lscale(gpTimepointSignalingTypeVP_S)      2.24      0.82     1.15     4.34 1.00     5575     2501
## 
## Regression Coefficients:
##           Estimate Est.Error l-95% CI u-95% CI Rhat Bulk_ESS Tail_ESS
## Intercept     0.01      0.99    -1.93     1.91 1.00     5944     2882
## 
## Further Distributional Parameters:
##         Estimate    Est.Error l-95% CI u-95% CI Rhat Bulk_ESS Tail_ESS
## shape 3114684.60 195245161.46     0.13  4205.25 1.00     3644     1972
## 
## Draws were sampled using sample(hmc). For each parameter, Bulk_ESS
## and Tail_ESS are effective sample size measures, and Rhat is the potential
## scale reduction factor on split chains (at convergence, Rhat = 1).

Model fitting

m.events.f.InDegree.VP.fit <- brm(
  formula = m.events.f.InDegree.VP.formula,
  prior   = m.events.f.InDegree.VP.priors,
  data    = m.events.f.InDegree.VP.data,
  chains = 4,
  cores = 4,
  seed = 42,
  warmup = 500,
  iter = 2000,
  file = paste0(fits_path, 'resource_discoveries_fast_in_degree_vp.rds'),
  backend = "cmdstanr",
  threads = threading(100),
  control = list(adapt_delta = 0.95),
  save_pars = save_pars(all = TRUE)
  )
summary(m.events.f.InDegree.VP.fit)
##  Family: negbinomial 
##   Links: mu = log; shape = identity 
## Formula: InDegree ~ gp(Timepoint, by = SignalingType) 
##    Data: m.events.f.InDegree.VP.data (Number of observations: 5010) 
##   Draws: 4 chains, each with iter = 2000; warmup = 500; thin = 1;
##          total post-warmup draws = 6000
## 
## Gaussian Process Hyperparameters:
##                                       Estimate Est.Error l-95% CI u-95% CI Rhat Bulk_ESS Tail_ESS
## sdgp(gpTimepointSignalingTypeVP_NS)       0.07      0.05     0.00     0.20 1.00     3060     2575
## sdgp(gpTimepointSignalingTypeVP_S)        0.30      0.06     0.19     0.42 1.00     5837     4345
## lscale(gpTimepointSignalingTypeVP_NS)     2.27      0.81     1.20     4.23 1.00     9775     3902
## lscale(gpTimepointSignalingTypeVP_S)      0.80      0.12     0.60     1.05 1.00     5725     4659
## 
## Regression Coefficients:
##           Estimate Est.Error l-95% CI u-95% CI Rhat Bulk_ESS Tail_ESS
## Intercept     0.18      0.07     0.01     0.32 1.00     2549     1906
## 
## Further Distributional Parameters:
##          Estimate     Est.Error l-95% CI    u-95% CI Rhat Bulk_ESS Tail_ESS
## shape 84354015.81 4507522747.43   413.58 10727745.00 1.00     4772     2583
## 
## Draws were sampled using sample(hmc). For each parameter, Bulk_ESS
## and Tail_ESS are effective sample size measures, and Rhat is the potential
## scale reduction factor on split chains (at convergence, Rhat = 1).

Model diagnostics

plot(m.events.f.InDegree.VP.fit, ask = F)

m.events.f.InDegree.VP.me <- conditional_effects(m.events.f.InDegree.VP.fit, ndraws = 200, spaghetti = TRUE)
plot(m.events.f.InDegree.VP.me, ask = FALSE, points = F)

Figure

m.events.f.InDegree.VP.draws <- m.events.f.InDegree.VP.data %>%
  mutate(SignalingType = factor(SignalingType, levels = c('VP_NS', 'VP_S'))) %>%
  data_grid(Timepoint, SignalingType) %>%
  tidybayes::add_epred_draws(m.events.f.InDegree.VP.fit, allow_new_levels = TRUE, re_formula = m.events.f.InDegree.VP.formula)
events_fast_in_degree_vp_fig <- m.events.f.InDegree.VP.draws %>% 
  ggplot(aes(x = Timepoint, y = .epred, fill = SignalingType, color = SignalingType)) +   # , group = SignalingType
  stat_lineribbon(aes(group = paste(group, ...width..)), .width = c(.9), alpha = 1/2) +
  theme_nice(legend.pos = 'none') +
  scale_color_manual(breaks = c('VP_NS', 'VP_S'),
                     aesthetics = c("colour", "fill"),
                    values = c("#000000", "#DF536B"), 
                    guide = guide_legend(
                    title = "Signaling", 
                     )
                    ) +
  theme_clean() +
  panel_border() +
  theme(legend.position    = "none") +
  scale_x_continuous(
    limits  = c(0, 30),
    expand  = expansion(mult = c(0, 0))
  ) +
  labs(x = "Time [s]", 
       y = "In Degree")

events_fast_in_degree_vp_fig

Combine plot

resource_discoveries_figure_fast <- ggarrange(
  ggarrange(events_fast_p_stay_fig,  events_fast_in_degree_fig, nrow = 2, labels = c("", "")), # c("A", "C")
  ggarrange(events_fast_p_reach_fig, events_fast_outdegree_fig, nrow = 2, labels = c("", "")), # c("B", "D")
  ncol = 2,
  widths = c(1, 1)
)

resource_discoveries_figure_fast

ggsave(paste0(figures_path, "resource_discoveries_fast.pdf"), 
       plot = resource_discoveries_figure_fast, 
       width = 11, height = 7, dpi = 600, 
       units = "in", device = 'pdf')

Combine plot (in/out degree full)

resource_discoveries_figure_fast_in_out_full <- ggarrange(
  ggarrange(events_fast_in_degree_fig + scale_y_continuous(limits  = c(0.75, 2.1)), #  + labs(x = "")
            events_fast_outdegree_discoverer_fig + scale_y_continuous(limits  = c(0.35, 1.45)), 
            nrow = 2, labels = c("", "")),
  ggarrange(events_fast_in_degree_others_fig + scale_y_continuous(limits  = c(0.75, 2.1)), # + labs(x = "", y = "") 
            events_fast_outdegree_fig + scale_y_continuous(limits  = c(0.35, 1.45)), 
            nrow = 2, labels = c("", "")),
  ncol = 2,
  widths = c(1, 1)
)

resource_discoveries_figure_fast_in_out_full

ggsave(paste0(figures_path, "resource_discoveries_fast_in_out_full.pdf"), 
       plot = resource_discoveries_figure_fast_in_out_full, 
       width = 11, height = 7, dpi = 600, 
       units = "in", device = 'pdf')

Combine plot VP

resource_discoveries_figure_fast_vp <- ggarrange(
  ggarrange(events_fast_p_stay_vp_fig,  events_fast_in_degree_vp_fig, nrow = 2, labels = c("", "")),
  ggarrange(events_fast_p_reach_vp_fig, events_fast_outdegree_vp_fig, nrow = 2, labels = c("", "")),
  ncol = 2,
  widths = c(1, 1)
)

resource_discoveries_figure_fast_vp

ggsave(paste0(figures_path, "resource_discoveries_fast_vp.pdf"), 
       plot = resource_discoveries_figure_fast_vp, 
       width = 13, height = 9, dpi = 600, 
       units = "in", device = 'pdf')

Slow

Probability of staying on resource

m.events.s.pstay.data <- resource_discoveries_data %>% 
  filter(ResourceSpeed == 'slow', PlayerOrderCat == 'first') %>% 
  filter(((Timepoint * 10) %% 10 == 0))


m.events.s.pstay.formula <- brmsformula(
  IsOnResource ~ gp(Timepoint, by = SignalingType),
  family = bernoulli(link = "logit")
  )
m.events.s.pstay.priors <-
  prior(normal(0, 1), class = "Intercept") +
  prior(inv_gamma(10, 20), class = "lscale", coef = "gpTimepointSignalingTypeA") +
  prior(inv_gamma(10, 20), class = "lscale", coef = "gpTimepointSignalingTypeFP") +
  prior(inv_gamma(10, 20), class = "lscale", coef = "gpTimepointSignalingTypeNP") +
  prior(inv_gamma(10, 20), class = "lscale", coef = "gpTimepointSignalingTypeVP") +
  prior(normal(0, 0.25), class = "sdgp", lb = 0)

Prior predictive checks

m.events.s.pstay.fit_prior <- brm(
  formula = m.events.s.pstay.formula,
  prior   = m.events.s.pstay.priors,
  data    = m.events.s.pstay.data,
  chains  = 4,
  cores   = 4,
  seed    = 42,
  iter    = 2000,
  file = paste0(fits_path, 'resource_discoveries_slow_p_stay_prior.rds'),
  backend = "cmdstanr",
  threads = threading(100),
  control = list(adapt_delta = 0.95),
  save_pars = save_pars(all = TRUE),
  sample_prior = "only"
  )
plot(conditional_effects(m.events.f.pstay.fit_prior, ndraws = 20, spaghetti = TRUE), points = F, ask = F)

Model fitting

m.events.s.pstay.fit <- brm(
  formula = m.events.s.pstay.formula,
  prior   = m.events.s.pstay.priors,
  data    = m.events.s.pstay.data,
  chains = 4,
  cores = 4,
  seed = 42,
  warmup = 500,
  iter = 2000,
  file = paste0(fits_path, 'resource_discoveries_slow_p_stay.rds'),
  backend = "cmdstanr",
  threads = threading(100),
  control = list(adapt_delta = 0.95),
  save_pars = save_pars(all = TRUE)
  )
summary(m.events.s.pstay.fit)
##  Family: bernoulli 
##   Links: mu = logit 
## Formula: IsOnResource ~ gp(Timepoint, by = SignalingType) 
##    Data: m.events.s.pstay.data (Number of observations: 7740) 
##   Draws: 4 chains, each with iter = 2000; warmup = 500; thin = 1;
##          total post-warmup draws = 6000
## 
## Gaussian Process Hyperparameters:
##                                    Estimate Est.Error l-95% CI u-95% CI Rhat Bulk_ESS Tail_ESS
## sdgp(gpTimepointSignalingTypeA)        1.02      0.15     0.74     1.34 1.00     6695     4744
## sdgp(gpTimepointSignalingTypeNP)       0.25      0.18     0.01     0.65 1.00     2998     3009
## sdgp(gpTimepointSignalingTypeVP)       0.78      0.15     0.52     1.10 1.00     8147     4432
## sdgp(gpTimepointSignalingTypeFP)       0.58      0.18     0.21     0.93 1.00     3323     1618
## lscale(gpTimepointSignalingTypeA)      0.65      0.12     0.47     0.92 1.00     5301     4839
## lscale(gpTimepointSignalingTypeNP)     2.06      0.74     1.08     3.88 1.00     8893     4552
## lscale(gpTimepointSignalingTypeVP)     1.02      0.22     0.67     1.52 1.00     9554     5104
## lscale(gpTimepointSignalingTypeFP)     1.50      0.48     0.88     2.66 1.00     5640     4067
## 
## Regression Coefficients:
##           Estimate Est.Error l-95% CI u-95% CI Rhat Bulk_ESS Tail_ESS
## Intercept     1.27      0.22     0.83     1.75 1.00     3015     2781
## 
## Draws were sampled using sample(hmc). For each parameter, Bulk_ESS
## and Tail_ESS are effective sample size measures, and Rhat is the potential
## scale reduction factor on split chains (at convergence, Rhat = 1).

Model diagnostics

plot(m.events.s.pstay.fit, ask = F)

#### Figure

m.events.s.pstay.draws <- m.events.s.pstay.data %>%
  mutate(SignalingType = factor(SignalingType, levels = c('A', 'NP', 'VP', 'FP'))) %>% 
  data_grid(Timepoint, SignalingType) %>%
  tidybayes::add_epred_draws(m.events.s.pstay.fit, allow_new_levels = TRUE, 
                             re_formula = m.events.s.pstay.formula)
events_slow_p_stay_fig <- m.events.s.pstay.draws %>% 
  ggplot(aes(x = Timepoint, y = .epred, fill = SignalingType, color = SignalingType)) +
  stat_lineribbon(aes(group = paste(group, ...width..)), .width = c(.9), alpha = 1/2) +
  theme_clean() +
  panel_border() +
  theme(legend.position    = "none") +
  scale_color_manual(breaks = c('A', 'NP', 'VP', 'FP'),
                     aesthetics = c("colour", "fill"),
                    values = c("#000000", "#DF536B", "#61D04F", "#2297E6"), 
                    guide = guide_legend(
                      title = "Signaling", 
                     )
                    ) +
  scale_y_continuous(
    limits  = c(0.4, 1.0),
    expand  = expansion(mult = c(0, 0))
  ) +
  scale_x_continuous(
    limits  = c(0, 30),
    expand  = expansion(mult = c(0, 0))
  ) +
  labs(x = "Time [s]", 
       y = "P(on resource)")

events_slow_p_stay_fig

Probability of staying on resource VP

m.events.s.pstay.VP.data <- resource_discoveries_data_vp %>% 
  filter(ResourceSpeed == 'slow', PlayerOrderCat == 'first') %>% 
  filter(((Timepoint * 10) %% 10 == 0))
m.events.s.pstay.VP.data %>%
  group_by(ResourceSpeed, SignalingType) %>%
  summarise(UniqueEvents = n_distinct(Event))
m.events.s.pstay.VP.formula <- brmsformula(
  IsOnResource ~ gp(Timepoint, by = SignalingType),
  family = bernoulli(link = "logit")
  )
m.events.s.pstay.VP.priors <-
  prior(normal(0, 1), class = "Intercept") +
  prior(inv_gamma(10, 20), class = "lscale", coef = "gpTimepointSignalingTypeVP_NS") +
  prior(inv_gamma(10, 20), class = "lscale", coef = "gpTimepointSignalingTypeVP_S") +
  prior(normal(0, 0.25), class = "sdgp", lb = 0)

Prior predictive checks

m.events.s.pstay.VP.fit_prior <- brm(
  formula = m.events.s.pstay.VP.formula,
  prior   = m.events.s.pstay.VP.priors,
  data    = m.events.s.pstay.VP.data,
  seed    = 42,
  chains  = 4,
  cores   = 4,
  iter    = 2000,
  file = paste0(fits_path, 'resource_discoveries_slow_p_stay_vp_prior.rds'),
  backend = "cmdstanr",
  threads = threading(100),
  control = list(adapt_delta = 0.95),
  save_pars = save_pars(all = TRUE),
  sample_prior = "only"
)
plot(conditional_effects(m.events.s.pstay.VP.fit_prior, ndraws = 20, spaghetti = TRUE), points = F, ask = F)

Model fitting

m.events.s.pstay.VP.fit <- brm(
  formula = m.events.s.pstay.VP.formula,
  prior   = m.events.s.pstay.VP.priors,
  data    = m.events.s.pstay.VP.data,
  chains = 4,
  cores = 4,
  seed = 42,
  warmup = 500,
  iter = 2000,
  file = paste0(fits_path, 'resource_discoveries_slow_p_stay_vp.rds'),
  backend = "cmdstanr",
  threads = threading(100),
  control = list(adapt_delta = 0.95),
  save_pars = save_pars(all = TRUE)
  )
summary(m.events.s.pstay.VP.fit)
##  Family: bernoulli 
##   Links: mu = logit 
## Formula: IsOnResource ~ gp(Timepoint, by = SignalingType) 
##    Data: m.events.s.pstay.VP.data (Number of observations: 600) 
##   Draws: 4 chains, each with iter = 2000; warmup = 500; thin = 1;
##          total post-warmup draws = 6000
## 
## Gaussian Process Hyperparameters:
##                                       Estimate Est.Error l-95% CI u-95% CI Rhat Bulk_ESS Tail_ESS
## sdgp(gpTimepointSignalingTypeVP_NS)       0.84      0.15     0.57     1.16 1.00     6257     4157
## sdgp(gpTimepointSignalingTypeVP_S)        0.41      0.23     0.03     0.86 1.00     1824     1507
## lscale(gpTimepointSignalingTypeVP_NS)     1.08      0.23     0.72     1.59 1.00     6293     4438
## lscale(gpTimepointSignalingTypeVP_S)      1.87      0.68     0.98     3.61 1.00     4962     4628
## 
## Regression Coefficients:
##           Estimate Est.Error l-95% CI u-95% CI Rhat Bulk_ESS Tail_ESS
## Intercept     1.33      0.41     0.39     2.00 1.00     2468     3402
## 
## Draws were sampled using sample(hmc). For each parameter, Bulk_ESS
## and Tail_ESS are effective sample size measures, and Rhat is the potential
## scale reduction factor on split chains (at convergence, Rhat = 1).

Model diagnostics

plot(m.events.s.pstay.VP.fit, ask = F)

Figure

m.events.s.pstay.VP.draws <- m.events.s.pstay.VP.data %>%
  mutate(SignalingType = factor(SignalingType, levels = c('VP_NS', 'VP_S'))) %>% 
  data_grid(Timepoint, SignalingType) %>%
  tidybayes::add_epred_draws(m.events.s.pstay.VP.fit, allow_new_levels = TRUE, re_formula = m.events.s.pstay.VP.formula)
events_slow_p_stay_vp_fig <- m.events.s.pstay.VP.draws %>% 
  ggplot(aes(x = Timepoint, y = .epred, fill = SignalingType, color = SignalingType)) +   # , group = SignalingType
  stat_lineribbon(aes(group = paste(group, ...width..)), .width = c(.9), alpha = 1/2) +
  theme_clean() +
  panel_border() +
  theme(legend.position    = "none") +
  scale_color_manual(breaks = c('VP_NS', 'VP_S'),
                     aesthetics = c("colour", "fill"),
                    values = c("#000000", "#DF536B"), 
                    guide = guide_legend(
                    title = "Signaling", 
                     )
                    ) +
  scale_y_continuous(
    limits  = c(0.15, 1.0),
    expand  = expansion(mult = c(0, 0))
  ) +
  scale_x_continuous(
    limits  = c(0, 30),
    expand  = expansion(mult = c(0, 0))
  ) +
  labs(x = "Time [s]", 
       y = "P(on resource)")

events_slow_p_stay_vp_fig

Probability of reaching on resource

m.events.s.reach.data <- resource_discoveries_data %>% 
  filter(ResourceSpeed == 'slow', PlayerOrderCat == 'others') %>% 
  filter(((Timepoint * 10) %% 10 == 0))


m.events.s.reach.formula <- brmsformula(
  IsOnResource ~ gp(Timepoint, by = SignalingType),
  family = bernoulli(link = "logit")
  )
m.events.s.reach.priors <-
  prior(normal(0, 1), class = "Intercept") +
  prior(inv_gamma(10, 20), class = "lscale", coef = "gpTimepointSignalingTypeFP") +
  prior(inv_gamma(10, 20), class = "lscale", coef = "gpTimepointSignalingTypeNP") +
  prior(inv_gamma(10, 20), class = "lscale", coef = "gpTimepointSignalingTypeVP") +
  prior(normal(0, 0.25), class = "sdgp", lb = 0)

Prior predictive checks

m.events.s.reach.fit_prior <- brm(
  formula = m.events.s.reach.formula,
  prior   = m.events.s.reach.priors,
  data    = m.events.s.reach.data,
  chains  = 4,
  cores   = 4,
  seed    = 42,
  iter    = 2000,
  file = paste0(fits_path, 'resource_discoveries_slow_p_reach_prior.rds'),
  backend = "cmdstanr",
  threads = threading(100),
  control = list(adapt_delta = 0.95),
  save_pars = save_pars(all = TRUE),
  sample_prior = "only"
  )
plot(conditional_effects(m.events.s.reach.fit_prior, ndraws = 20, spaghetti = TRUE), points = F, ask = F)

Model fitting

m.events.s.reach.fit <- brm(
  formula = m.events.s.reach.formula,
  prior   = m.events.s.reach.priors,
  data    = m.events.s.reach.data,
  chains = 4,
  cores = 4,
  seed = 42,
  warmup = 500,
  iter = 2000,
  file = paste0(fits_path, 'resource_discoveries_slow_p_reach.rds'),
  backend = "cmdstanr",
  threads = threading(100),
  control = list(adapt_delta = 0.95),
  save_pars = save_pars(all = TRUE)
  )
summary(m.events.s.reach.fit)
##  Family: bernoulli 
##   Links: mu = logit 
## Formula: IsOnResource ~ gp(Timepoint, by = SignalingType) 
##    Data: m.events.s.reach.data (Number of observations: 5340) 
##   Draws: 4 chains, each with iter = 2000; warmup = 500; thin = 1;
##          total post-warmup draws = 6000
## 
## Gaussian Process Hyperparameters:
##                                    Estimate Est.Error l-95% CI u-95% CI Rhat Bulk_ESS Tail_ESS
## sdgp(gpTimepointSignalingTypeNP)       0.84      0.14     0.59     1.15 1.00     6627     4427
## sdgp(gpTimepointSignalingTypeVP)       0.81      0.14     0.55     1.12 1.00     5488     3595
## sdgp(gpTimepointSignalingTypeFP)       0.74      0.14     0.48     1.05 1.00     6660     4185
## lscale(gpTimepointSignalingTypeNP)     1.02      0.19     0.71     1.44 1.00     6883     4806
## lscale(gpTimepointSignalingTypeVP)     1.14      0.21     0.79     1.61 1.00     5913     4595
## lscale(gpTimepointSignalingTypeFP)     1.22      0.24     0.83     1.78 1.00     6699     4545
## 
## Regression Coefficients:
##           Estimate Est.Error l-95% CI u-95% CI Rhat Bulk_ESS Tail_ESS
## Intercept    -1.55      0.39    -2.33    -0.81 1.00     2815     3578
## 
## Draws were sampled using sample(hmc). For each parameter, Bulk_ESS
## and Tail_ESS are effective sample size measures, and Rhat is the potential
## scale reduction factor on split chains (at convergence, Rhat = 1).

Model diagnostics

plot(m.events.s.reach.fit, ask = F)

m.events.s.reach.draws <- m.events.s.reach.data %>%
  mutate(SignalingType = factor(SignalingType, levels = c('NP', 'VP', 'FP'))) %>% 
  data_grid(Timepoint, SignalingType) %>%
  tidybayes::add_epred_draws(m.events.s.reach.fit, allow_new_levels = TRUE, 
                             re_formula = m.events.s.reach.formula)

Figure

events_slow_p_reach_fig <- m.events.s.reach.draws %>% 
  ggplot(aes(x = Timepoint, y = .epred, fill = SignalingType, color = SignalingType)) +
  stat_lineribbon(aes(group = paste(group, ...width..)), .width = c(.9), alpha = 1/2) +
  theme_nice(legend.pos = "top") +
  scale_color_manual(breaks = c('NP', 'VP', 'FP'),
                     aesthetics = c("colour", "fill"),
                    values = c("#DF536B", "#61D04F", "#2297E6"), 
                    guide = guide_legend(
                      title = "Signaling", 
                     )
                    ) +
  theme_clean() +
  panel_border() +
  theme(legend.position    = "none") +
  scale_y_continuous(
    limits  = c(0, 0.5),
    expand  = expansion(mult = c(0, 0))
  ) +
  scale_x_continuous(
    limits  = c(0, 30),
    expand  = expansion(mult = c(0, 0))
  ) +
  labs(x = "Time [s]", 
       y = "P(on resource)")

events_slow_p_reach_fig

Probability of reaching resource VP

m.events.s.reach.VP.data <- resource_discoveries_data_vp %>% 
  filter(ResourceSpeed == 'slow', PlayerOrderCat == 'others') %>% 
  filter(((Timepoint * 10) %% 10 == 0))


m.events.s.reach.VP.formula <- brmsformula(
  IsOnResource ~ gp(Timepoint, by = SignalingType),
  family = bernoulli(link = "logit")
  )
m.events.s.reach.VP.priors <-
  prior(normal(0, 1), class = "Intercept") +
  prior(inv_gamma(10, 20), class = "lscale", coef = "gpTimepointSignalingTypeVP_NS") +
  prior(inv_gamma(10, 20), class = "lscale", coef = "gpTimepointSignalingTypeVP_S") +
  prior(normal(0, 0.25), class = "sdgp", lb = 0)

Prior predictive checks

m.events.s.reach.VP.fit_prior <- brm(
  formula = m.events.s.reach.VP.formula,
  prior   = m.events.s.reach.VP.priors,
  data    = m.events.s.reach.VP.data,
  chains  = 4,
  cores   = 4,
  seed    = 42,
  iter    = 2000,
  file = paste0(fits_path, 'resource_discoveries_slow_p_reach_vp_prior.rds'),
  backend = "cmdstanr",
  threads = threading(100),
  control = list(adapt_delta = 0.95),
  save_pars = save_pars(all = TRUE),
  sample_prior = "only"
  )
plot(conditional_effects(m.events.s.reach.VP.fit_prior, ndraws = 20, spaghetti = TRUE), points = F, ask = F)

Model fitting

m.events.s.reach.VP.fit <- brm(
  formula = m.events.s.reach.VP.formula,
  prior   = m.events.s.reach.VP.priors,
  data    = m.events.s.reach.VP.data,
  chains = 4,
  cores = 4,
  seed = 42,
  warmup = 500,
  iter = 2000,
  file = paste0(fits_path, 'resource_discoveries_slow_p_reach_vp.rds'),
  backend = "cmdstanr",
  threads = threading(100),
  control = list(adapt_delta = 0.95),
  save_pars = save_pars(all = TRUE)
  )
summary(m.events.s.reach.VP.fit)
##  Family: bernoulli 
##   Links: mu = logit 
## Formula: IsOnResource ~ gp(Timepoint, by = SignalingType) 
##    Data: m.events.s.reach.VP.data (Number of observations: 2280) 
##   Draws: 4 chains, each with iter = 2000; warmup = 500; thin = 1;
##          total post-warmup draws = 6000
## 
## Gaussian Process Hyperparameters:
##                                       Estimate Est.Error l-95% CI u-95% CI Rhat Bulk_ESS Tail_ESS
## sdgp(gpTimepointSignalingTypeVP_NS)       0.67      0.15     0.40     0.98 1.00     7994     4006
## sdgp(gpTimepointSignalingTypeVP_S)        0.84      0.14     0.58     1.14 1.00     6775     4354
## lscale(gpTimepointSignalingTypeVP_NS)     1.32      0.30     0.85     2.02 1.00     9569     4397
## lscale(gpTimepointSignalingTypeVP_S)      1.09      0.20     0.76     1.54 1.00     7675     4609
## 
## Regression Coefficients:
##           Estimate Est.Error l-95% CI u-95% CI Rhat Bulk_ESS Tail_ESS
## Intercept    -1.40      0.45    -2.26    -0.54 1.00     4283     4391
## 
## Draws were sampled using sample(hmc). For each parameter, Bulk_ESS
## and Tail_ESS are effective sample size measures, and Rhat is the potential
## scale reduction factor on split chains (at convergence, Rhat = 1).

Model diagnostics

plot(m.events.s.reach.VP.fit, ask = F)

Figure

m.events.s.reach.VP.draws <- m.events.s.reach.VP.data %>%
  mutate(SignalingType = factor(SignalingType, levels = c('VP_NS', 'VP_S'))) %>%
  data_grid(Timepoint, SignalingType) %>%
  tidybayes::add_epred_draws(m.events.s.reach.VP.fit, allow_new_levels = TRUE, re_formula = m.events.s.reach.VP.formula)
events_slow_p_reach_vp_fig <- m.events.s.reach.VP.draws %>% 
  ggplot(aes(x = Timepoint, y = .epred, fill = SignalingType, color = SignalingType)) +
  stat_lineribbon(aes(group = paste(group, ...width..)), .width = c(.9), alpha = 1/2) +
  theme_nice(legend.pos = 'top') +
  scale_color_manual(breaks = c('VP_NS', 'VP_S'),
                     aesthetics = c("colour", "fill"),
                    values = c("#000000", "#DF536B"), 
                    guide = guide_legend(
                    title = "Signaling", 
                     )
                    ) +
  theme_clean() +
  panel_border() +
  theme(legend.position    = "none") +
  scale_y_continuous(
    limits  = c(0, 0.5),
    expand  = expansion(mult = c(0, 0))
  ) +
  scale_x_continuous(
    limits  = c(0, 30),
    expand  = expansion(mult = c(0, 0))
  ) +
  labs(x = "Time [s]", 
       y = "P(on resource)")

events_slow_p_reach_vp_fig

Out degree

m.events.s.OutDegree.data <- resource_discoveries_data %>% 
  filter(ResourceSpeed == 'slow', SignalingType != 'A', PlayerOrderCat == 'others') %>% 
  filter(((Timepoint * 10) %% 10 == 0))
hist(m.events.s.OutDegree.data$OutDegree)

m.events.s.OutDegree.formula <- brmsformula(
  OutDegree ~ gp(Timepoint, by = SignalingType), 
  family = poisson(link = "log")
  )
m.events.s.OutDegree.priors <-
  prior(normal(0, 1), class = "Intercept") +
  prior(inv_gamma(10, 20), class = "lscale", coef = "gpTimepointSignalingTypeFP") +
  prior(inv_gamma(10, 20), class = "lscale", coef = "gpTimepointSignalingTypeNP") +
  prior(inv_gamma(10, 20), class = "lscale", coef = "gpTimepointSignalingTypeVP") +
  prior(normal(0, 0.25), class = "sdgp", lb = 0)

Prior predictive checks

m.events.s.OutDegree.fit_prior <- brm(
  formula = m.events.s.OutDegree.formula,
  prior   = m.events.s.OutDegree.priors,
  data    = m.events.s.OutDegree.data,
  chains  = 4,
  cores   = 4,
  seed    = 42,
  iter    = 2000,
  file = paste0(fits_path, 'resource_discoveries_slow_out_degree_prior.rds'),
  backend = "cmdstanr",
  threads = threading(100),
  control = list(adapt_delta = 0.95),
  save_pars = save_pars(all = TRUE),
  sample_prior = "only"
  )
plot(conditional_effects(m.events.s.OutDegree.fit_prior, ndraws = 20, spaghetti = TRUE), points = F, ask = F)

Model fitting

m.events.s.OutDegree.fit <- brm(
  formula = m.events.s.OutDegree.formula,
  prior   = m.events.s.OutDegree.priors,
  data    = m.events.s.OutDegree.data,
  chains = 4,
  cores = 4,
  seed = 42,
  warmup = 500,
  iter = 2000,
  file = paste0(fits_path, 'resource_discoveries_slow_out_degree.rds'),
  backend = "cmdstanr",
  threads = threading(100),
  control = list(adapt_delta = 0.95),
  save_pars = save_pars(all = TRUE)
  )
summary(m.events.s.OutDegree.fit)
##  Family: poisson 
##   Links: mu = log 
## Formula: OutDegree ~ gp(Timepoint, by = SignalingType) 
##    Data: m.events.s.OutDegree.data (Number of observations: 5340) 
##   Draws: 4 chains, each with iter = 2000; warmup = 500; thin = 1;
##          total post-warmup draws = 6000
## 
## Gaussian Process Hyperparameters:
##                                    Estimate Est.Error l-95% CI u-95% CI Rhat Bulk_ESS Tail_ESS
## sdgp(gpTimepointSignalingTypeNP)       0.28      0.14     0.05     0.62 1.00     3611     2232
## sdgp(gpTimepointSignalingTypeVP)       0.42      0.13     0.21     0.70 1.00     7049     4051
## sdgp(gpTimepointSignalingTypeFP)       0.47      0.13     0.26     0.77 1.00     7482     4309
## lscale(gpTimepointSignalingTypeNP)     1.97      0.67     1.06     3.58 1.00    10089     4278
## lscale(gpTimepointSignalingTypeVP)     1.75      0.47     1.05     2.85 1.00     9365     4250
## lscale(gpTimepointSignalingTypeFP)     1.47      0.38     0.91     2.37 1.00    10616     5036
## 
## Regression Coefficients:
##           Estimate Est.Error l-95% CI u-95% CI Rhat Bulk_ESS Tail_ESS
## Intercept     0.07      0.18    -0.30     0.42 1.00     3498     3643
## 
## Draws were sampled using sample(hmc). For each parameter, Bulk_ESS
## and Tail_ESS are effective sample size measures, and Rhat is the potential
## scale reduction factor on split chains (at convergence, Rhat = 1).

Model diagnostics

plot(m.events.s.OutDegree.fit, ask = F)

m.events.s.OutDegree.me <- conditional_effects(
  m.events.s.OutDegree.fit, ndraws = 200, spaghetti = TRUE)

plot(m.events.s.OutDegree.me, ask = FALSE, points = F)

m.events.s.OutDegree.draws <- m.events.s.OutDegree.data %>%
  mutate(SignalingType = factor(SignalingType, levels = c('NP', 'VP', 'FP'))) %>% 
  data_grid(Timepoint, SignalingType) %>%
  tidybayes::add_epred_draws(m.events.s.OutDegree.fit, allow_new_levels = TRUE, 
                             re_formula = m.events.s.OutDegree.formula)

Figure

events_slow_outdegree_fig <- m.events.s.OutDegree.draws %>% 
  ggplot(aes(x = Timepoint, y = .epred, fill = SignalingType, color = SignalingType)) +
  stat_lineribbon(aes(group = paste(group, ...width..)), .width = c(.9), alpha = 1/2) +
  theme_nice(legend.pos = 'none') +
  scale_color_manual(breaks = c('NP', 'VP', 'FP'),
                     aesthetics = c("colour", "fill"),
                    values = c("#DF536B", "#61D04F", "#2297E6"), 
                    guide = guide_legend(
                      title = "Signaling", 
                     )
                    ) +
  theme_clean() +
  panel_border() +
  theme(legend.position    = "none") +
  scale_x_continuous(
    limits  = c(0, 30),
    expand  = expansion(mult = c(0, 0))
  ) +
  labs(x = "Time [s]", 
       y = "Out Degree")


events_slow_outdegree_fig

Out degree (Discoverer)

m.events.s.OutDegree.Discoverer.data <- resource_discoveries_data %>% 
  filter(ResourceSpeed == 'slow', SignalingType != 'A', PlayerOrderCat == 'first') %>% 
  filter(((Timepoint * 10) %% 10 == 0))
hist(m.events.s.OutDegree.Discoverer.data$OutDegree)

m.events.s.OutDegree.Discoverer.formula <- brmsformula(
  OutDegree ~ gp(Timepoint, by = SignalingType), 
  family = poisson(link = "log")
  )
m.events.s.OutDegree.Discoverer.priors <-
  prior(normal(0, 1), class = "Intercept") +
  prior(inv_gamma(10, 20), class = "lscale", coef = "gpTimepointSignalingTypeFP") +
  prior(inv_gamma(10, 20), class = "lscale", coef = "gpTimepointSignalingTypeNP") +
  prior(inv_gamma(10, 20), class = "lscale", coef = "gpTimepointSignalingTypeVP") +
  prior(normal(0, 0.25), class = "sdgp", lb = 0)

Prior predictive checks

m.events.s.OutDegree.Discoverer.fit_prior <- brm(
  formula = m.events.s.OutDegree.Discoverer.formula,
  prior   = m.events.s.OutDegree.Discoverer.priors,
  data    = m.events.s.OutDegree.Discoverer.data,
  chains  = 4,
  cores   = 4,
  seed    = 42,
  iter    = 2000,
  file = paste0(fits_path, 'resource_discoveries_slow_out_degree_discoverer_prior.rds'),
  backend = "cmdstanr",
  threads = threading(100),
  control = list(adapt_delta = 0.95),
  save_pars = save_pars(all = TRUE),
  sample_prior = "only"
  )
plot(conditional_effects(m.events.s.OutDegree.Discoverer.fit_prior, ndraws = 20, spaghetti = TRUE), points = F, ask = F)

Model fitting

m.events.s.OutDegree.Discoverer.fit <- brm(
  formula = m.events.s.OutDegree.Discoverer.formula,
  prior   = m.events.s.OutDegree.Discoverer.priors,
  data    = m.events.s.OutDegree.Discoverer.data,
  chains = 4,
  cores = 4,
  seed = 42,
  warmup = 500,
  iter = 2000,
  file = paste0(fits_path, 'resource_discoveries_slow_out_degree_discoverer.rds'),
  backend = "cmdstanr",
  threads = threading(100),
  control = list(adapt_delta = 0.95),
  save_pars = save_pars(all = TRUE)
  )
summary(m.events.s.OutDegree.Discoverer.fit)
##  Family: poisson 
##   Links: mu = log 
## Formula: OutDegree ~ gp(Timepoint, by = SignalingType) 
##    Data: m.events.s.OutDegree.Discovererdata (Number of observations: 1380) 
##   Draws: 4 chains, each with iter = 2000; warmup = 500; thin = 1;
##          total post-warmup draws = 6000
## 
## Gaussian Process Hyperparameters:
##                                    Estimate Est.Error l-95% CI u-95% CI Rhat Bulk_ESS Tail_ESS
## sdgp(gpTimepointSignalingTypeNP)       0.30      0.17     0.02     0.66 1.00     2380     2376
## sdgp(gpTimepointSignalingTypeVP)       0.51      0.16     0.23     0.87 1.00     4587     3996
## sdgp(gpTimepointSignalingTypeFP)       0.58      0.15     0.31     0.90 1.00     4918     3802
## lscale(gpTimepointSignalingTypeNP)     1.94      0.71     0.98     3.70 1.00     6513     4259
## lscale(gpTimepointSignalingTypeVP)     1.39      0.45     0.72     2.44 1.00     5540     4173
## lscale(gpTimepointSignalingTypeFP)     1.27      0.34     0.77     2.06 1.00     6388     4734
## 
## Regression Coefficients:
##           Estimate Est.Error l-95% CI u-95% CI Rhat Bulk_ESS Tail_ESS
## Intercept    -0.23      0.24    -0.81     0.15 1.00     1778     2196
## 
## Draws were sampled using sample(hmc). For each parameter, Bulk_ESS
## and Tail_ESS are effective sample size measures, and Rhat is the potential
## scale reduction factor on split chains (at convergence, Rhat = 1).

Model diagnostics

plot(m.events.s.OutDegree.Discoverer.fit, ask = F)

m.events.s.OutDegree.Discoverer.me <- conditional_effects(
  m.events.s.OutDegree.Discoverer.fit, ndraws = 200, spaghetti = TRUE)

plot(m.events.s.OutDegree.Discoverer.me, ask = FALSE, points = F)

m.events.s.OutDegree.Discoverer.draws <- m.events.s.OutDegree.Discoverer.data %>%
  mutate(SignalingType = factor(SignalingType, levels = c('NP', 'VP', 'FP'))) %>% 
  data_grid(Timepoint, SignalingType) %>%
  tidybayes::add_epred_draws(m.events.s.OutDegree.Discoverer.fit, allow_new_levels = TRUE, 
                             re_formula = m.events.s.OutDegree.Discoverer.formula)

Figure

events_slow_outdegree_discoverer_fig <- m.events.s.OutDegree.Discoverer.draws %>% 
  ggplot(aes(x = Timepoint, y = .epred, fill = SignalingType, color = SignalingType)) +
  stat_lineribbon(aes(group = paste(group, ...width..)), .width = c(.9), alpha = 1/2) +
  theme_nice(legend.pos = 'none') +
  scale_color_manual(breaks = c('NP', 'VP', 'FP'),
                     aesthetics = c("colour", "fill"),
                    values = c("#DF536B", "#61D04F", "#2297E6"), 
                    guide = guide_legend(
                      title = "Signaling", 
                     )
                    ) +
  theme_clean() +
  panel_border() +
  theme(legend.position    = "none") +
  scale_x_continuous(
    limits  = c(0, 30),
    expand  = expansion(mult = c(0, 0))
  ) +
  labs(x = "Time [s]", 
       y = "Out Degree")


events_slow_outdegree_discoverer_fig

Out degree VP

m.events.s.OutDegree.VP.data  <- resource_discoveries_data_vp %>% 
  filter(ResourceSpeed == 'slow', PlayerOrderCat == 'others') %>% 
  filter(((Timepoint * 10) %% 10 == 0))

m.events.s.OutDegree.VP.formula <- brmsformula(
  OutDegree ~ gp(Timepoint, by = SignalingType), 
  family = negbinomial()
  )
m.events.s.OutDegree.VP.priors <-
  prior(normal(0, 1), class = "Intercept") +
  prior(inv_gamma(10, 20), class = "lscale", coef = "gpTimepointSignalingTypeVP_NS") +
  prior(inv_gamma(10, 20), class = "lscale", coef = "gpTimepointSignalingTypeVP_S") +
  prior(normal(0, 0.25), class = "sdgp", lb = 0)

Prior predictive checks

m.events.s.OutDegree.VP.fit_prior <- brm(
  formula = m.events.s.OutDegree.VP.formula,
  prior   = m.events.s.OutDegree.VP.priors,
  data    = m.events.s.OutDegree.VP.data,
  chains  = 4,
  cores   = 4,
  seed    = 42,
  iter    = 2000,
  file = paste0(fits_path, 'resource_discoveries_slow_out_degree_vp_prior.rds'),
  backend = "cmdstanr",
  threads = threading(100),
  control = list(adapt_delta = 0.95),
  save_pars = save_pars(all = TRUE),
  sample_prior = "only"
  )
plot(conditional_effects(m.events.s.OutDegree.VP.fit_prior, ndraws = 20, spaghetti = TRUE), points = F, ask = F)

Model fitting

m.events.s.OutDegree.VP.fit <- brm(
  formula = m.events.s.OutDegree.VP.formula,
  prior   = m.events.s.OutDegree.VP.priors,
  data    = m.events.s.OutDegree.VP.data,
  chains = 4,
  cores = 4,
  seed = 42,
  warmup = 500,
  iter = 2000,
  file = paste0(fits_path, 'resource_discoveries_slow_out_degree_vp.rds'),
  backend = "cmdstanr",
  threads = threading(100),
  control = list(adapt_delta = 0.95),
  save_pars = save_pars(all = TRUE)
  )
summary(m.events.s.OutDegree.VP.fit)
##  Family: negbinomial 
##   Links: mu = log; shape = identity 
## Formula: OutDegree ~ gp(Timepoint, by = SignalingType) 
##    Data: m.events.s.OutDegree.VP.data (Number of observations: 2280) 
##   Draws: 4 chains, each with iter = 2000; warmup = 500; thin = 1;
##          total post-warmup draws = 6000
## 
## Gaussian Process Hyperparameters:
##                                       Estimate Est.Error l-95% CI u-95% CI Rhat Bulk_ESS Tail_ESS
## sdgp(gpTimepointSignalingTypeVP_NS)       0.27      0.14     0.02     0.58 1.00     2349     1609
## sdgp(gpTimepointSignalingTypeVP_S)        0.44      0.13     0.23     0.72 1.00     4456     4018
## lscale(gpTimepointSignalingTypeVP_NS)     2.06      0.71     1.13     3.84 1.00     6021     3980
## lscale(gpTimepointSignalingTypeVP_S)      1.69      0.45     1.04     2.75 1.00     4739     4052
## 
## Regression Coefficients:
##           Estimate Est.Error l-95% CI u-95% CI Rhat Bulk_ESS Tail_ESS
## Intercept     0.16      0.21    -0.25     0.60 1.00     1606     2757
## 
## Further Distributional Parameters:
##       Estimate Est.Error l-95% CI u-95% CI Rhat Bulk_ESS Tail_ESS
## shape     4.28      0.69     3.17     5.86 1.00     8042     4021
## 
## Draws were sampled using sample(hmc). For each parameter, Bulk_ESS
## and Tail_ESS are effective sample size measures, and Rhat is the potential
## scale reduction factor on split chains (at convergence, Rhat = 1).

Model diagnostics

plot(m.events.s.OutDegree.VP.fit, ask = F)

m.events.s.OutDegree.VP.me <- conditional_effects(m.events.s.OutDegree.VP.fit, ndraws = 200, spaghetti = TRUE)
plot(m.events.s.OutDegree.VP.me, ask = FALSE, points = F)

Figure

m.events.s.OutDegree.VP.draws <- m.events.s.OutDegree.VP.data  %>%
  mutate(SignalingType = factor(SignalingType, levels = c('VP_NS', 'VP_S'))) %>%
  data_grid(Timepoint, SignalingType) %>%
  tidybayes::add_epred_draws(m.events.s.OutDegree.VP.fit, allow_new_levels = TRUE, 
                             re_formula = m.events.s.OutDegree.VP.formula)
events_slow_outdegree_vp_fig <- m.events.s.OutDegree.VP.draws %>% 
  ggplot(aes(x = Timepoint, y = .epred, fill = SignalingType, color = SignalingType)) +
  stat_lineribbon(aes(group = paste(group, ...width..)), .width = c(.9), alpha = 1/2) +
  theme_nice(legend.pos = 'none') +
  scale_color_manual(breaks = c('VP_NS', 'VP_S'),
                     aesthetics = c("colour", "fill"),
                    values = c("#000000", "#DF536B"), 
                    guide = guide_legend(
                    title = "Signaling", 
                     )
                    ) +
  theme_clean() +
  panel_border() +
  theme(legend.position    = "none") +
  scale_x_continuous(
    limits  = c(0, 30),
    expand  = expansion(mult = c(0, 0))
  ) +
  labs(x = "Time [s]", 
       y = "Out Degree")


events_slow_outdegree_vp_fig

In degree

m.events.s.InDegree.data <- resource_discoveries_data %>% 
  filter(ResourceSpeed == 'slow', SignalingType != 'A', PlayerOrderCat == 'first') %>% 
  filter(((Timepoint * 10) %% 10 == 0))
hist(m.events.s.InDegree.data$InDegree)

m.events.s.InDegree.formula <- brmsformula(
  InDegree ~ gp(Timepoint, by = SignalingType), 
  family = poisson(link = "log")
  )
m.events.s.InDegree.priors <-
  prior(normal(0, 1), class = "Intercept") +
  prior(inv_gamma(10, 20), class = "lscale", coef = "gpTimepointSignalingTypeFP") +
  prior(inv_gamma(10, 20), class = "lscale", coef = "gpTimepointSignalingTypeNP") +
  prior(inv_gamma(10, 20), class = "lscale", coef = "gpTimepointSignalingTypeVP") +
  prior(normal(0, 0.25), class = "sdgp", lb = 0)

Prior predictive checks

m.events.s.InDegree.fit_prior <- brm(
  formula = m.events.s.InDegree.formula,
  prior   = m.events.s.InDegree.priors,
  data    = m.events.s.InDegree.data,
  chains  = 4,
  cores   = 4,
  seed    = 42,
  iter    = 2000,
  file = paste0(fits_path, 'resource_discoveries_slow_in_degree_prior.rds'),
  backend = "cmdstanr",
  threads = threading(100),
  control = list(adapt_delta = 0.95),
  save_pars = save_pars(all = TRUE),
  sample_prior = "only"
  )
plot(conditional_effects(m.events.s.InDegree.fit_prior, ndraws = 20, spaghetti = TRUE), points = F, ask = F)

Model fitting

m.events.s.InDegree.fit <- brm(
  formula = m.events.s.InDegree.formula,
  prior   = m.events.s.InDegree.priors,
  data    = m.events.s.InDegree.data,
  chains = 4,
  cores = 4,
  seed = 42,
  warmup = 500,
  iter = 2000,
  file = paste0(fits_path, 'resource_discoveries_slow_in_degree.rds'),
  backend = "cmdstanr",
  threads = threading(100),
  control = list(adapt_delta = 0.95),
  save_pars = save_pars(all = TRUE)
  )
summary(m.events.s.InDegree.fit)
##  Family: poisson 
##   Links: mu = log 
## Formula: InDegree ~ gp(Timepoint, by = SignalingType) 
##    Data: m.events.s.InDegree.data (Number of observations: 1380) 
##   Draws: 4 chains, each with iter = 2000; warmup = 500; thin = 1;
##          total post-warmup draws = 6000
## 
## Gaussian Process Hyperparameters:
##                                    Estimate Est.Error l-95% CI u-95% CI Rhat Bulk_ESS Tail_ESS
## sdgp(gpTimepointSignalingTypeNP)       0.17      0.13     0.01     0.48 1.00     3178     3350
## sdgp(gpTimepointSignalingTypeVP)       0.43      0.14     0.19     0.74 1.00     5898     3901
## sdgp(gpTimepointSignalingTypeFP)       0.37      0.15     0.11     0.69 1.00     4357     2722
## lscale(gpTimepointSignalingTypeNP)     2.21      0.78     1.17     4.20 1.00    12379     4165
## lscale(gpTimepointSignalingTypeVP)     1.66      0.45     0.98     2.74 1.00     9218     4335
## lscale(gpTimepointSignalingTypeFP)     1.84      0.57     1.05     3.18 1.00     8527     4160
## 
## Regression Coefficients:
##           Estimate Est.Error l-95% CI u-95% CI Rhat Bulk_ESS Tail_ESS
## Intercept     0.25      0.15    -0.05     0.57 1.00     2368     2693
## 
## Draws were sampled using sample(hmc). For each parameter, Bulk_ESS
## and Tail_ESS are effective sample size measures, and Rhat is the potential
## scale reduction factor on split chains (at convergence, Rhat = 1).

Model diagnostics

plot(m.events.s.InDegree.fit, ask = F)

m.events.s.InDegree.draws <- m.events.s.InDegree.data %>%
  mutate(SignalingType = factor(SignalingType, levels = c('NP', 'VP', 'FP'))) %>% 
  data_grid(Timepoint, SignalingType) %>%
  tidybayes::add_epred_draws(m.events.s.InDegree.fit, allow_new_levels = TRUE, 
                             re_formula = m.events.s.InDegree.formula)

Figure

events_slow_in_degree_fig <- m.events.s.InDegree.draws %>% 
  ggplot(aes(x = Timepoint, y = .epred, fill = SignalingType, color = SignalingType)) +
  stat_lineribbon(aes(group = paste(group, ...width..)), .width = c(.9), alpha = 1/2) +
  theme_nice(legend.pos = 'none') +
  scale_color_manual(breaks = c('NP', 'VP', 'FP'),
                     aesthetics = c("colour", "fill"),
                    values = c("#DF536B", "#61D04F", "#2297E6"), 
                    guide = guide_legend(
                      title = "Signaling", 
                     )
                    ) +
  theme_clean() +
  panel_border() +
  theme(legend.position    = "none") +
  scale_x_continuous(
    limits  = c(0, 30),
    expand  = expansion(mult = c(0, 0))
  ) +
  theme_clean() +
  panel_border() +
  theme(legend.position    = "none") +
  scale_x_continuous(
    limits  = c(0, 30),
    expand  = expansion(mult = c(0, 0))
  ) +
  labs(x = "Time [s]", 
       y = "In Degree")


events_slow_in_degree_fig

In degree (Others)

m.events.s.InDegree.Others.data <- resource_discoveries_data %>% 
  filter(ResourceSpeed == 'slow', SignalingType != 'A', PlayerOrderCat == 'others') %>% 
  filter(((Timepoint * 10) %% 10 == 0))
hist(m.events.s.InDegree.Others.data$InDegree)

m.events.s.InDegree.Others.formula <- brmsformula(
  InDegree ~ gp(Timepoint, by = SignalingType), 
  family = poisson(link = "log")
  )
m.events.s.InDegree.Others.priors <-
  prior(normal(0, 1), class = "Intercept") +
  prior(inv_gamma(10, 20), class = "lscale", coef = "gpTimepointSignalingTypeFP") +
  prior(inv_gamma(10, 20), class = "lscale", coef = "gpTimepointSignalingTypeNP") +
  prior(inv_gamma(10, 20), class = "lscale", coef = "gpTimepointSignalingTypeVP") +
  prior(normal(0, 0.25), class = "sdgp", lb = 0)

Prior predictive checks

m.events.s.InDegree.Others.fit_prior <- brm(
  formula = m.events.s.InDegree.Others.formula,
  prior   = m.events.s.InDegree.Others.priors,
  data    = m.events.s.InDegree.Others.data,
  chains  = 4,
  cores   = 4,
  seed    = 42,
  iter    = 2000,
  file = paste0(fits_path, 'resource_discoveries_slow_in_degree_others_prior.rds'),
  backend = "cmdstanr",
  threads = threading(100),
  control = list(adapt_delta = 0.95),
  save_pars = save_pars(all = TRUE),
  sample_prior = "only"
  )
plot(conditional_effects(m.events.s.InDegree.Others.fit_prior, ndraws = 20, spaghetti = TRUE), points = F, ask = F)

Model fitting

m.events.s.InDegree.Others.fit <- brm(
  formula = m.events.s.InDegree.Others.formula,
  prior   = m.events.s.InDegree.Others.priors,
  data    = m.events.s.InDegree.Others.data,
  chains = 4,
  cores = 4,
  seed = 42,
  warmup = 500,
  iter = 2000,
  file = paste0(fits_path, 'resource_discoveries_slow_in_degree_others.rds'),
  backend = "cmdstanr",
  threads = threading(100),
  control = list(adapt_delta = 0.95),
  save_pars = save_pars(all = TRUE)
  )
summary(m.events.s.InDegree.Others.fit)
##  Family: poisson 
##   Links: mu = log 
## Formula: InDegree ~ gp(Timepoint, by = SignalingType) 
##    Data: m.events.s.InDegree.Others.data (Number of observations: 5340) 
##   Draws: 4 chains, each with iter = 2000; warmup = 500; thin = 1;
##          total post-warmup draws = 6000
## 
## Gaussian Process Hyperparameters:
##                                    Estimate Est.Error l-95% CI u-95% CI Rhat Bulk_ESS Tail_ESS
## sdgp(gpTimepointSignalingTypeNP)       0.36      0.16     0.10     0.71 1.00     3273     2273
## sdgp(gpTimepointSignalingTypeVP)       0.42      0.13     0.21     0.71 1.00     7844     4582
## sdgp(gpTimepointSignalingTypeFP)       0.51      0.13     0.29     0.80 1.00     7103     4617
## lscale(gpTimepointSignalingTypeNP)     1.64      0.60     0.86     3.13 1.00     5783     4877
## lscale(gpTimepointSignalingTypeVP)     1.76      0.47     1.05     2.88 1.00     8974     4394
## lscale(gpTimepointSignalingTypeFP)     1.51      0.38     0.94     2.42 1.00     8765     4357
## 
## Regression Coefficients:
##           Estimate Est.Error l-95% CI u-95% CI Rhat Bulk_ESS Tail_ESS
## Intercept    -0.07      0.21    -0.50     0.32 1.00     2818     3598
## 
## Draws were sampled using sample(hmc). For each parameter, Bulk_ESS
## and Tail_ESS are effective sample size measures, and Rhat is the potential
## scale reduction factor on split chains (at convergence, Rhat = 1).

Model diagnostics

plot(m.events.s.InDegree.Others.fit, ask = F)

m.events.s.InDegree.Others.draws <- m.events.s.InDegree.Others.data %>%
  mutate(SignalingType = factor(SignalingType, levels = c('NP', 'VP', 'FP'))) %>% 
  data_grid(Timepoint, SignalingType) %>%
  tidybayes::add_epred_draws(m.events.s.InDegree.Others.fit, allow_new_levels = TRUE, 
                             re_formula = m.events.s.InDegree.Others.formula)

Figure

events_slow_in_degree_others_fig <- m.events.s.InDegree.Others.draws %>% 
  ggplot(aes(x = Timepoint, y = .epred, fill = SignalingType, color = SignalingType)) +
  stat_lineribbon(aes(group = paste(group, ...width..)), .width = c(.9), alpha = 1/2) +
  theme_nice(legend.pos = 'none') +
  scale_color_manual(breaks = c('NP', 'VP', 'FP'),
                     aesthetics = c("colour", "fill"),
                    values = c("#DF536B", "#61D04F", "#2297E6"), 
                    guide = guide_legend(
                      title = "Signaling", 
                     )
                    ) +
  theme_clean() +
  panel_border() +
  theme(legend.position    = "none") +
  scale_x_continuous(
    limits  = c(0, 30),
    expand  = expansion(mult = c(0, 0))
  ) +
  theme_clean() +
  panel_border() +
  theme(legend.position    = "none") +
  scale_x_continuous(
    limits  = c(0, 30),
    expand  = expansion(mult = c(0, 0))
  ) +
  labs(x = "Time [s]", 
       y = "In Degree")


events_slow_in_degree_others_fig

In degree VP

m.events.s.InDegree.VP.data <- resource_discoveries_data_vp %>% 
  filter(ResourceSpeed == 'slow', PlayerOrderCat == 'first') %>% 
  filter(((Timepoint * 10) %% 10 == 0))

m.events.s.InDegree.VP.formula <- brmsformula(
  InDegree ~ gp(Timepoint, by = SignalingType), 
  family = negbinomial()
  )
m.events.s.InDegree.VP.priors <-
  prior(normal(0, 1), class = "Intercept") +
  prior(inv_gamma(10, 20), class = "lscale", coef = "gpTimepointSignalingTypeVP_NS") +
  prior(inv_gamma(10, 20), class = "lscale", coef = "gpTimepointSignalingTypeVP_S") +
  prior(normal(0, 0.1), class = "sdgp", lb = 0)

Prior predictive checks

m.events.s.InDegree.VP.fit_prior <- brm(
  formula = m.events.s.InDegree.VP.formula,
  prior   = m.events.s.InDegree.VP.priors,
  data    = m.events.s.InDegree.VP.data,
  chains  = 4,
  cores   = 4,
  seed    = 42,
  iter    = 2000,
  file = paste0(fits_path, 'resource_discoveries_slow_in_degree_vp_prior.rds'),
  backend = "cmdstanr",
  threads = threading(100),
  control = list(adapt_delta = 0.95),
  save_pars = save_pars(all = TRUE),
  sample_prior = "only"
  )
plot(conditional_effects(m.events.s.InDegree.VP.fit_prior, ndraws = 20, spaghetti = TRUE), points = F, ask = F)

summary(m.events.s.InDegree.VP.fit_prior)
##  Family: negbinomial 
##   Links: mu = log; shape = identity 
## Formula: InDegree ~ gp(Timepoint, by = SignalingType) 
##    Data: m.events.s.InDegree.VP.data (Number of observations: 600) 
##   Draws: 4 chains, each with iter = 2000; warmup = 1000; thin = 1;
##          total post-warmup draws = 4000
## 
## Gaussian Process Hyperparameters:
##                                       Estimate Est.Error l-95% CI u-95% CI Rhat Bulk_ESS Tail_ESS
## sdgp(gpTimepointSignalingTypeVP_NS)       0.08      0.06     0.00     0.22 1.00     3635     1707
## sdgp(gpTimepointSignalingTypeVP_S)        0.08      0.06     0.00     0.22 1.00     3614     1899
## lscale(gpTimepointSignalingTypeVP_NS)     2.23      0.80     1.14     4.27 1.00     5093     2773
## lscale(gpTimepointSignalingTypeVP_S)      2.24      0.82     1.15     4.34 1.00     5575     2501
## 
## Regression Coefficients:
##           Estimate Est.Error l-95% CI u-95% CI Rhat Bulk_ESS Tail_ESS
## Intercept     0.01      0.99    -1.93     1.91 1.00     5944     2882
## 
## Further Distributional Parameters:
##         Estimate    Est.Error l-95% CI u-95% CI Rhat Bulk_ESS Tail_ESS
## shape 3114684.60 195245161.46     0.13  4205.25 1.00     3644     1972
## 
## Draws were sampled using sample(hmc). For each parameter, Bulk_ESS
## and Tail_ESS are effective sample size measures, and Rhat is the potential
## scale reduction factor on split chains (at convergence, Rhat = 1).

Model fitting

m.events.s.InDegree.VP.fit <- brm(
  formula = m.events.s.InDegree.VP.formula,
  prior   = m.events.s.InDegree.VP.priors,
  data    = m.events.s.InDegree.VP.data,
  chains = 4,
  cores = 4,
  seed = 42,
  warmup = 500,
  iter = 2000,
  file = paste0(fits_path, 'resource_discoveries_slow_in_degree_vp.rds'),
  backend = "cmdstanr",
  threads = threading(100),
  control = list(adapt_delta = 0.95),
  save_pars = save_pars(all = TRUE)
  )
summary(m.events.s.InDegree.VP.fit)
##  Family: negbinomial 
##   Links: mu = log; shape = identity 
## Formula: InDegree ~ gp(Timepoint, by = SignalingType) 
##    Data: m.events.s.InDegree.VP.data (Number of observations: 600) 
##   Draws: 4 chains, each with iter = 2000; warmup = 500; thin = 1;
##          total post-warmup draws = 6000
## 
## Gaussian Process Hyperparameters:
##                                       Estimate Est.Error l-95% CI u-95% CI Rhat Bulk_ESS Tail_ESS
## sdgp(gpTimepointSignalingTypeVP_NS)       0.08      0.06     0.00     0.23 1.00     2900     2835
## sdgp(gpTimepointSignalingTypeVP_S)        0.24      0.07     0.10     0.38 1.00     1678      788
## lscale(gpTimepointSignalingTypeVP_NS)     2.20      0.79     1.15     4.09 1.00    11183     4585
## lscale(gpTimepointSignalingTypeVP_S)      1.43      0.47     0.84     2.53 1.00     4399     2762
## 
## Regression Coefficients:
##           Estimate Est.Error l-95% CI u-95% CI Rhat Bulk_ESS Tail_ESS
## Intercept     0.14      0.11    -0.05     0.39 1.00     2208     1050
## 
## Further Distributional Parameters:
##          Estimate     Est.Error l-95% CI   u-95% CI Rhat Bulk_ESS Tail_ESS
## shape 72729234.35 2607147261.58    51.04 2764955.50 1.00     4713     2708
## 
## Draws were sampled using sample(hmc). For each parameter, Bulk_ESS
## and Tail_ESS are effective sample size measures, and Rhat is the potential
## scale reduction factor on split chains (at convergence, Rhat = 1).

Model diagnostics

plot(m.events.s.InDegree.VP.fit, ask = F)

m.events.s.InDegree.VP.me <- conditional_effects(m.events.s.InDegree.VP.fit, ndraws = 200, spaghetti = TRUE)
plot(m.events.s.InDegree.VP.me, ask = FALSE, points = F)

Figure

m.events.s.InDegree.VP.draws <- m.events.s.InDegree.VP.data %>%
  mutate(SignalingType = factor(SignalingType, levels = c('VP_NS', 'VP_S'))) %>%
  data_grid(Timepoint, SignalingType) %>%
  tidybayes::add_epred_draws(m.events.s.InDegree.VP.fit, allow_new_levels = TRUE, re_formula = m.events.s.InDegree.VP.formula)
events_slow_in_degree_vp_fig <- m.events.s.InDegree.VP.draws %>% 
  ggplot(aes(x = Timepoint, y = .epred, fill = SignalingType, color = SignalingType)) +
  stat_lineribbon(aes(group = paste(group, ...width..)), .width = c(.9), alpha = 1/2) +
  theme_nice(legend.pos = 'none') +
  scale_color_manual(breaks = c('VP_NS', 'VP_S'),
                     aesthetics = c("colour", "fill"),
                    values = c("#000000", "#DF536B"), 
                    guide = guide_legend(
                    title = "Signaling", 
                     )
                    ) +
  theme_clean() +
  panel_border() +
  theme(legend.position    = "none") +
  scale_x_continuous(
    limits  = c(0, 30),
    expand  = expansion(mult = c(0, 0))
  ) +
  labs(x = "Time [s]", 
       y = "In Degree")

events_slow_in_degree_vp_fig

Combine plot

resource_discoveries_figure_slow <- ggarrange(
  ggarrange(events_slow_p_stay_fig, events_slow_in_degree_fig, nrow = 2, labels = c("", "")),
  ggarrange(events_slow_p_reach_fig, events_slow_outdegree_fig, nrow = 2, labels = c("", "")),
  ncol = 2,
  widths = c(1, 1)
)

resource_discoveries_figure_slow

ggsave(paste0(figures_path, "resource_discoveries_slow.pdf"), 
       plot = resource_discoveries_figure_slow, 
       width = 11, height = 7, dpi = 600, 
       units = "in", device = 'pdf')

Combine plot (in/out degree full)

resource_discoveries_figure_slow_in_out_full <- ggarrange(
  ggarrange(events_slow_in_degree_fig + scale_y_continuous(limits  = c(0.75, 2.2)), #  + labs(x = "")
            events_slow_outdegree_discoverer_fig + scale_y_continuous(limits  = c(0.35, 1.85)), 
            nrow = 2, labels = c("", "")),
  ggarrange(events_slow_in_degree_others_fig + scale_y_continuous(limits  = c(0.75, 2.2)), # + labs(x = "", y = "") 
            events_slow_outdegree_fig + scale_y_continuous(limits  = c(0.35, 1.85)), 
            nrow = 2, labels = c("", "")),
  ncol = 2,
  widths = c(1, 1)
)

resource_discoveries_figure_slow_in_out_full

ggsave(paste0(figures_path, "resource_discoveries_slow_in_out_full.pdf"), 
       plot = resource_discoveries_figure_slow_in_out_full, 
       width = 11, height = 7, dpi = 600, 
       units = "in", device = 'pdf')

Combine plot VP

resource_discoveries_figure_slow_vp <- ggarrange(
  ggarrange(events_slow_p_stay_vp_fig, events_slow_in_degree_vp_fig, nrow = 2, labels = c("", "")),
  ggarrange(events_slow_p_reach_vp_fig, events_slow_outdegree_vp_fig, nrow = 2, labels = c("", "")),
  ncol = 2,
  widths = c(1, 1)
)

resource_discoveries_figure_slow_vp

ggsave(paste0(figures_path, "resource_discoveries_slow_vp.pdf"), 
       plot = resource_discoveries_figure_slow_vp, 
       width = 13, height = 9, dpi = 600, 
       units = "in", device = 'pdf')